Официальное опубликование правовых актов
ОФИЦИАЛЬНОЕ ОПУБЛИКОВАНИЕ
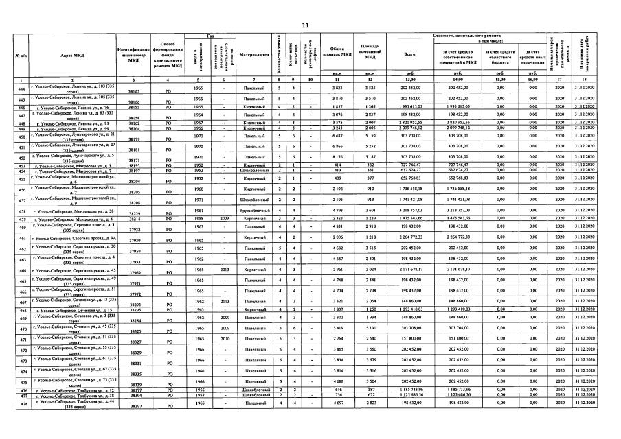
Приказ Министерства жилищной политики, энергетики и транспорта Иркутской области от 11.06.2020 № 58-19-мпр
"О внесении изменения в краткосрочный план реализации в 2020-2022 годах региональной программы капитального ремонта общего имущества в многоквартирных домах на территории Иркутской области на 2014-2043 годы"
Номер опубликования: 3801202006190004
Дата опубликования: 19.06.2020
Страница №12 из 84:
Увеличить