Официальное опубликование правовых актов
ОФИЦИАЛЬНОЕ ОПУБЛИКОВАНИЕ
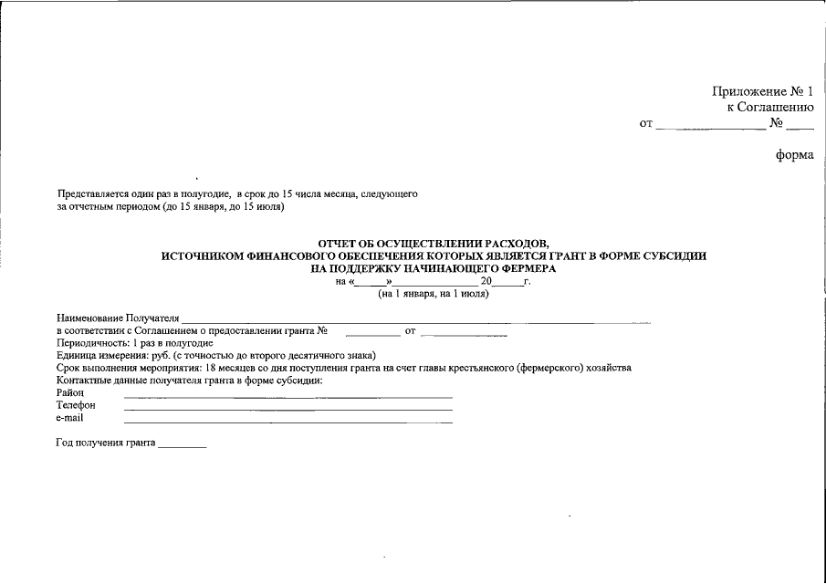
Приказ Министерства сельского хозяйства Иркутской области от 15.06.2020 № 36-мпр
"О реализации Положения о предоставлении грантов в форме субсидий на поддержку начинающих фермеров Иркутской области"
Номер опубликования: 3801202006160001
Дата опубликования: 16.06.2020
Страница №36 из 54:
Увеличить