Официальное опубликование правовых актов
ОФИЦИАЛЬНОЕ ОПУБЛИКОВАНИЕ
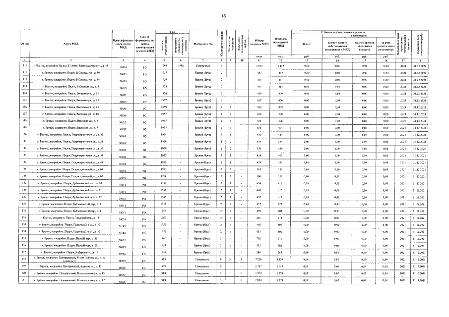
Приказ Министерства жилищной политики, энергетики и транспорта Иркутской области от 10.02.2020 № 58-4-мпр
"О внесении изменения в краткосрочный план реализации в 2020-2022 годах региональной программы капитального ремонта общего имущества в многоквартирных домах на территории Иркутской области на 2014-2043 годы"
Номер опубликования: 3801202002110003
Дата опубликования: 11.02.2020
Страница №19 из 81:
Увеличить