Официальное опубликование правовых актов
ОФИЦИАЛЬНОЕ ОПУБЛИКОВАНИЕ
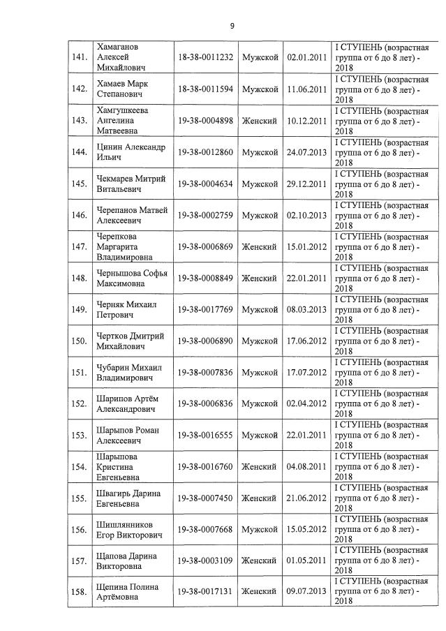
Приказ Министерства спорта Иркутской области от 07.02.2020 № 96-9-мпр
"О награждении серебряным и бронзовым знаками отличия Всероссийского физкультурно-спортивного комплекса "Готов к труду и обороне" (ГТО)"
Номер опубликования: 3801202002100006
Дата опубликования: 10.02.2020
Страница №10 из 166:
Увеличить