Официальное опубликование правовых актов
ОФИЦИАЛЬНОЕ ОПУБЛИКОВАНИЕ
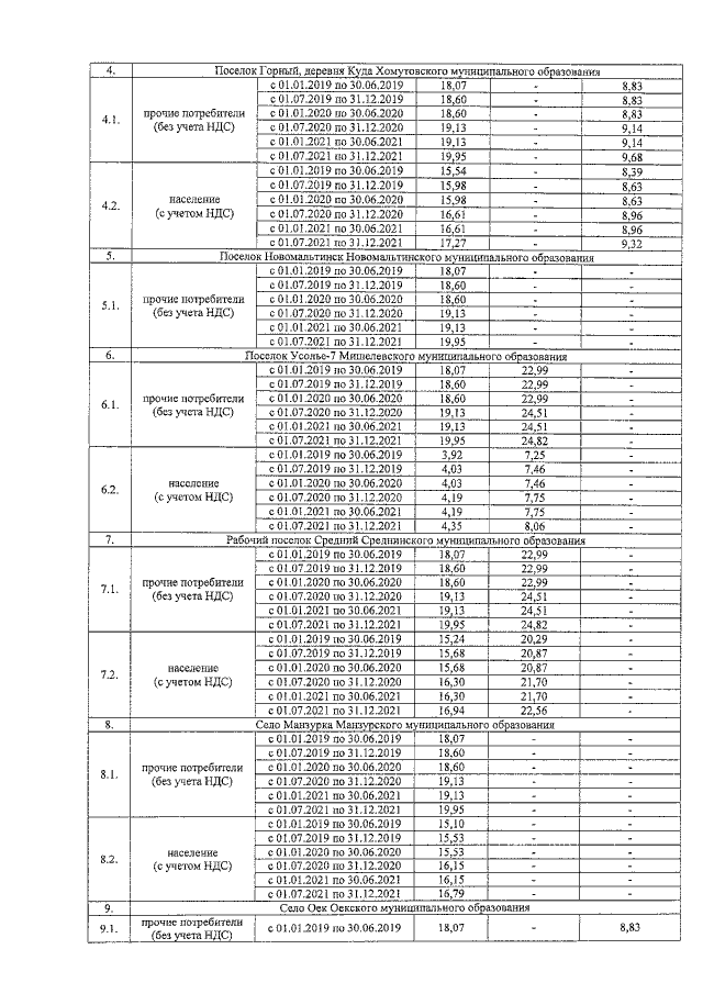
Приказ службы по тарифам Иркутской области от 20.12.2019 № 428-спр
"О внесении изменений в приказы службы по тарифам Иркутской области от 20 декабря 2018 года № 460-спр и от 20 декабря 2018 года № 519-спр"
Номер опубликования: 3801201912300037
Дата опубликования: 30.12.2019
Страница №5 из 6:
Увеличить