Официальное опубликование правовых актов
ОФИЦИАЛЬНОЕ ОПУБЛИКОВАНИЕ
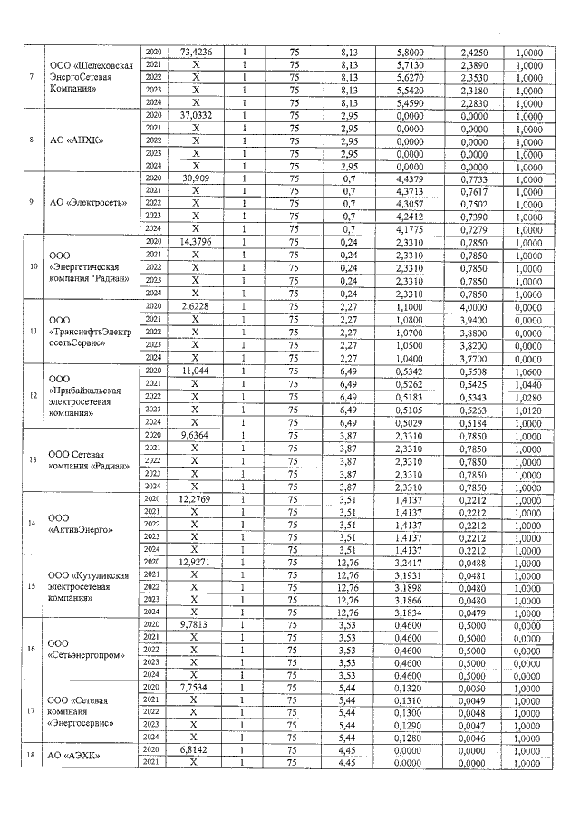
Приказ службы по тарифам Иркутской области от 27.12.2019 № 450-спр
"Об установлении долгосрочных параметров регулирования для территориальных сетевых организаций на территории Иркутской области"
Номер опубликования: 3801201912300001
Дата опубликования: 30.12.2019
Страница №4 из 8:
Увеличить