Официальное опубликование правовых актов
ОФИЦИАЛЬНОЕ ОПУБЛИКОВАНИЕ
Приказ Министерства жилищной политики, энергетики и транспорта Иркутской области от 17.10.2019 № 58-42-мпр
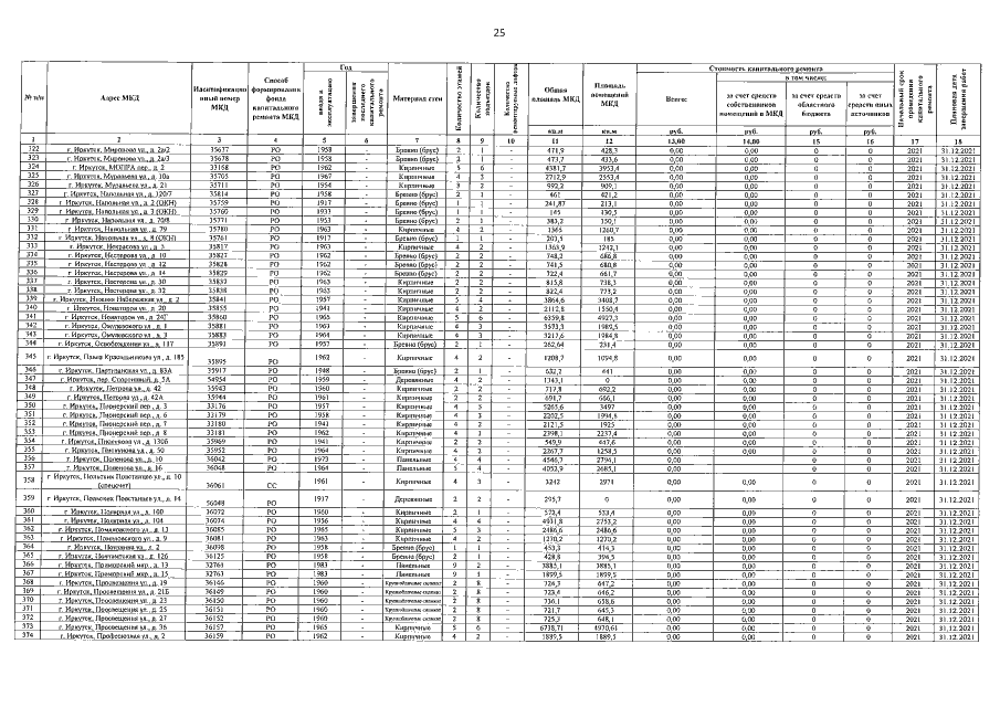
"О внесении изменения в краткосрочный план реализации в 2020-2022 годах региональной программы капитального ремонта общего имущества в многоквартирных домах на территории Иркутской области на 2014-2043 годы"
Номер опубликования: 3801201910210004
Дата опубликования: 21.10.2019
Страница №26 из 87:
Увеличить