Официальное опубликование правовых актов
ОФИЦИАЛЬНОЕ ОПУБЛИКОВАНИЕ
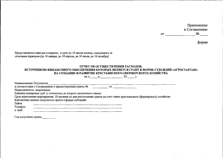
Приказ Министерства сельского хозяйства Иркутской области от 16.10.2019 № 75-мпр
"О реализации Положения о предоставлении грантов в форме субсидий "Агростартап" на создание и развитие крестьянских (фермерских) хозяйств"
Номер опубликования: 3801201910160002
Дата опубликования: 16.10.2019
Страница №30 из 43:
Увеличить