Официальное опубликование правовых актов
ОФИЦИАЛЬНОЕ ОПУБЛИКОВАНИЕ
Приказ Министерства имущественных отношений Иркутской области от 04.09.2019 № 51-мпр
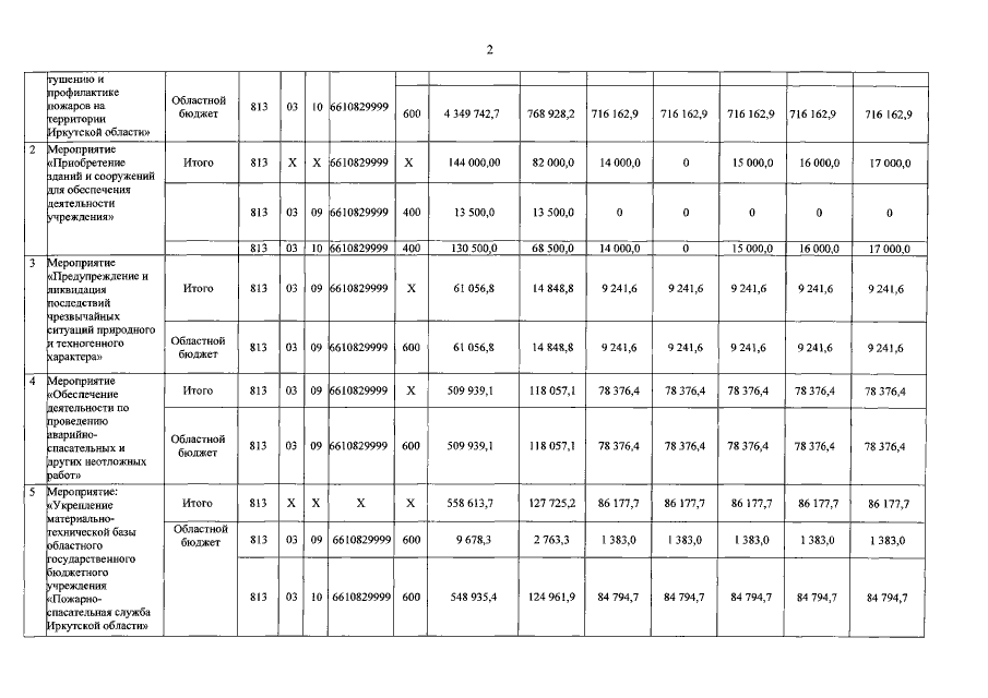
"О внесении изменений в ведомственную целевую программу Иркутской области "Организация тушения и профилактики пожаров, проведения аварийно-спасательных и других неотложных работ при чрезвычайных ситуациях" на 2019-2024 годы"
Номер опубликования: 3801201909050005
Дата опубликования: 05.09.2019
Страница №8 из 9:
Увеличить