Официальное опубликование правовых актов
ОФИЦИАЛЬНОЕ ОПУБЛИКОВАНИЕ
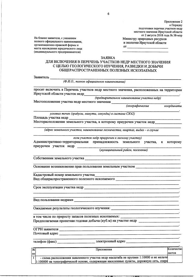
Приказ Министерства природных ресурсов и экологии Иркутской области от 18.04.2019 № 18-мпр
"О внесении изменений в приказ министерства природных ресурсов и экологии Иркутской области от 2 августа 2018 года № 38-мпр"
Номер опубликования: 3801201904190020
Дата опубликования: 19.04.2019
Страница №6 из 9:
Увеличить