Официальное опубликование правовых актов
ОФИЦИАЛЬНОЕ ОПУБЛИКОВАНИЕ
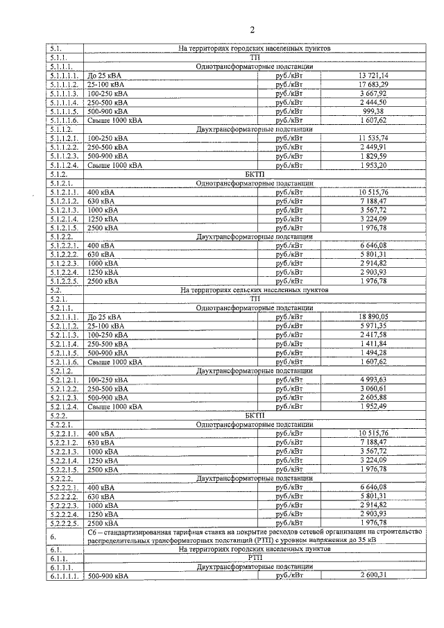
Приказ службы по тарифам Иркутской области от 28.12.2018 № 543-спр
"Об утверждении стандартизированных тарифных ставок, ставок за единицу максимальной мощности, формул платы за технологическое присоединение к электрическим сетям территориальных сетевых организаций Иркутской области на 2019 год"
Номер опубликования: 3801201812290033
Дата опубликования: 29.12.2018
Страница №6 из 12:
Увеличить