Официальное опубликование правовых актов
ОФИЦИАЛЬНОЕ ОПУБЛИКОВАНИЕ
Приказ Министерства природных ресурсов и экологии Иркутской области от 21.12.2018 № 74-мпр
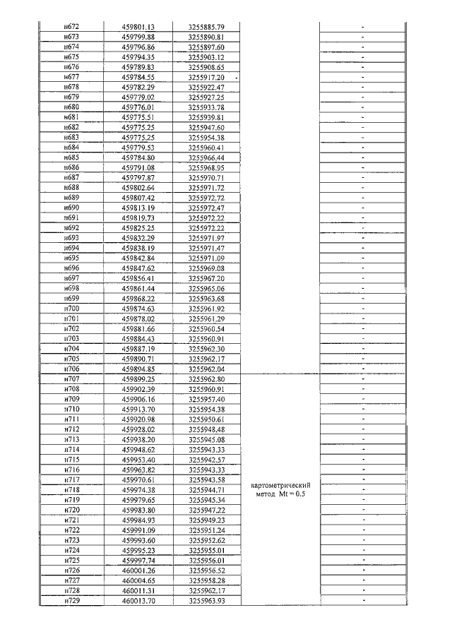
"Об установлении местоположения береговой линии, границ водоохранных зон и прибрежных защитных полос на реках Булайка, Большая Белая, Малая Белая, реки без названия (Булайское сельское поселение), Большая Иреть, Голуметь, Илотка, Ангара, река без названия (Лоховское сельское поселение), Иреть, Большая Белая, Онот, Голуметь, Грязнушка, Индон, Аларь, Малая Иреть, Моты, Камыжи, Большая Глинная, река без названия (Черемховское сельское поселение) в пределах населенных пунктов Средний Булай, Поморцева, Лохово, Лохова, Мутовка, Верхний Булай, Козлово, Чернухино, Бельково, заимка Труженик, Полежаева, Верхняя Иреть, Участок Мандагай, Голуметь, Баталаева, Елоты, Бархатово, Молочное, Каменно-Ангарск, Табук, Нижняя Иреть, Бажей, Большебельск, заимка Гусева, заимка Невидимова, Паточный, заимка Шестаково, Новостойка, Городок, Инга, Чернушка, Онот, Ургатуй, Гымыль, Тюмень, Русская Аларь, Средняя, Мотово, Красный Брод, Саянское, Участок Индон, Хандагай, Жалгай, Юлинск, Тальники, Сплавная, Тунгусы, Тунгуска, Мото, Бадыры, Белые Ключи, заимка Чемодариха, Белобородова Черемховского района"
Номер опубликования: 3801201812270046
Дата опубликования: 27.12.2018
Страница №151 из 1104:
Увеличить