Официальное опубликование правовых актов
ОФИЦИАЛЬНОЕ ОПУБЛИКОВАНИЕ
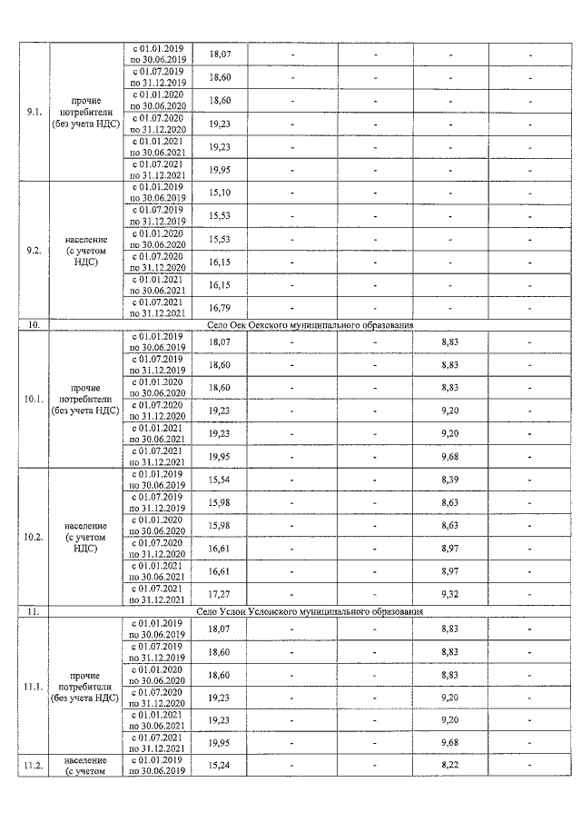
Приказ службы по тарифам Иркутской области от 20.12.2018 № 460-спр
"Об установлении долгосрочных тарифов на водоснабжение и водоотведение для потребителей ФГБУ "ЦЖКУ" Минобороны России (ИНН 7729314745)"
Номер опубликования: 3801201812260044
Дата опубликования: 26.12.2018
Страница №6 из 12:
Увеличить