Официальное опубликование правовых актов
ОФИЦИАЛЬНОЕ ОПУБЛИКОВАНИЕ
Приказ Министерства природных ресурсов и экологии Иркутской области от 21.12.2018 № 71-мпр
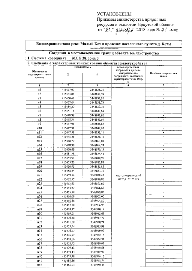
"Об установлении местоположения береговой линии, границ водоохранных зон и прибрежных защитных полос на реках Голоустная, Широкая Падь, Урунтин, Тореца, Экорлик, Беренчук, Балей, Лешакова, Кет, Бурунтай, Кыгылай, Вересовка, Оек, Уня, Куда, Малый Кот, Сарафанка, Бургасик, Резанка, Урик, Тайга, Ускакан, Кая, ручья Харатый в пределах населенных пунктов Большое Голоустное, Нижний Кочергат Малое Голоустное, Горохово, Степановка, Баруй, Сайгуты, Бухун, Верхний Кет, Малая Еланка, Никольск, Егоровщина, Рязановщина, Оек, Галки, Турская, Бутырки, Коты, Ревякино, Черемушка, Бургаз, Ширяево, Лыловщина, Тайтура, Горяшина, Тихонова Падь, Марково Иркутского района"
Номер опубликования: 3801201812260015
Дата опубликования: 26.12.2018
Страница №3217 из 3487:
Увеличить