Официальное опубликование правовых актов
ОФИЦИАЛЬНОЕ ОПУБЛИКОВАНИЕ
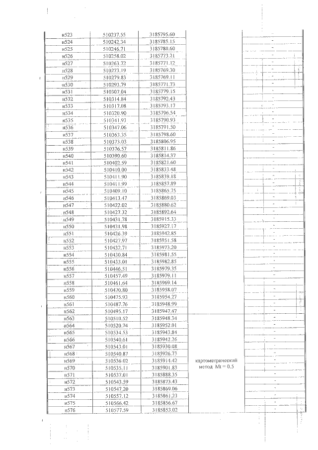
Приказ Министерства природных ресурсов и экологии Иркутской области от 20.11.2018 № 59-мпр
"Об установлении границ береговой линии, водоохранных зон и прибрежных защитных полос на реках Залари, Бабагай, Бажир, Багантуй, Рангул, Каменка, Маниловский, Ока, Тагна, Худой Шарагул, Хор-Тагна, Добрый Шарагул, Танкаса, Унга, Хайтик, Тыреть, Дархан, Вершина, рек без названия, Заларинского водохранилища в пределах населенных пунктов Заларинского района"
Номер опубликования: 3801201811270002
Дата опубликования: 27.11.2018
Страница №2237 из 2272:
Увеличить