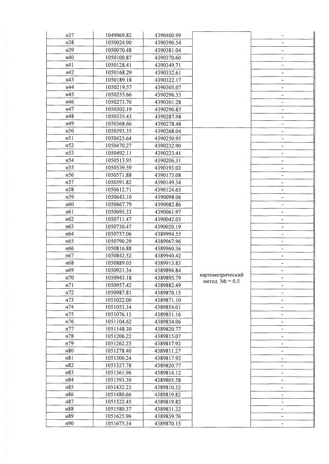
Приказ Министерства природных ресурсов и экологии Иркутской области от 20.11.2018 № 61-мпр
"Об установлении границ береговой линии, водоохранных зон и прибрежных защитных полос на реках Нижняя Тунгуска, Непа, Большая Ерема , Галонский в пределах населенных пунктов Ербогачен, Ерема, Верхне-Калинина, Инаригда, Мога, Наканно, Непа, Подволошино, Преображенка Катангского района"
"Об установлении границ береговой линии, водоохранных зон и прибрежных защитных полос на реках Нижняя Тунгуска, Непа, Большая Ерема , Галонский в пределах населенных пунктов Ербогачен, Ерема, Верхне-Калинина, Инаригда, Мога, Наканно, Непа, Подволошино, Преображенка Катангского района"
Номер опубликования: 3801201811230001
Дата опубликования:
23.11.2018
