Официальное опубликование правовых актов
ОФИЦИАЛЬНОЕ ОПУБЛИКОВАНИЕ
Приказ Министерства имущественных отношений Иркутской области от 16.11.2018 № 55-мпр
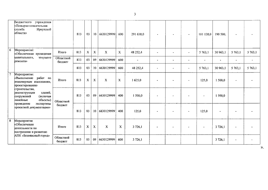
"О внесении изменений в ведомственную целевую программу Иркутской области "Организация тушения и профилактики пожаров, проведения аварийно-спасательных и других неотложных работ при чрезвычайных ситуациях" на 2014-2020 годы"
Номер опубликования: 3801201811190006
Дата опубликования: 19.11.2018
Страница №9 из 9:
Увеличить