Официальное опубликование правовых актов
ОФИЦИАЛЬНОЕ ОПУБЛИКОВАНИЕ
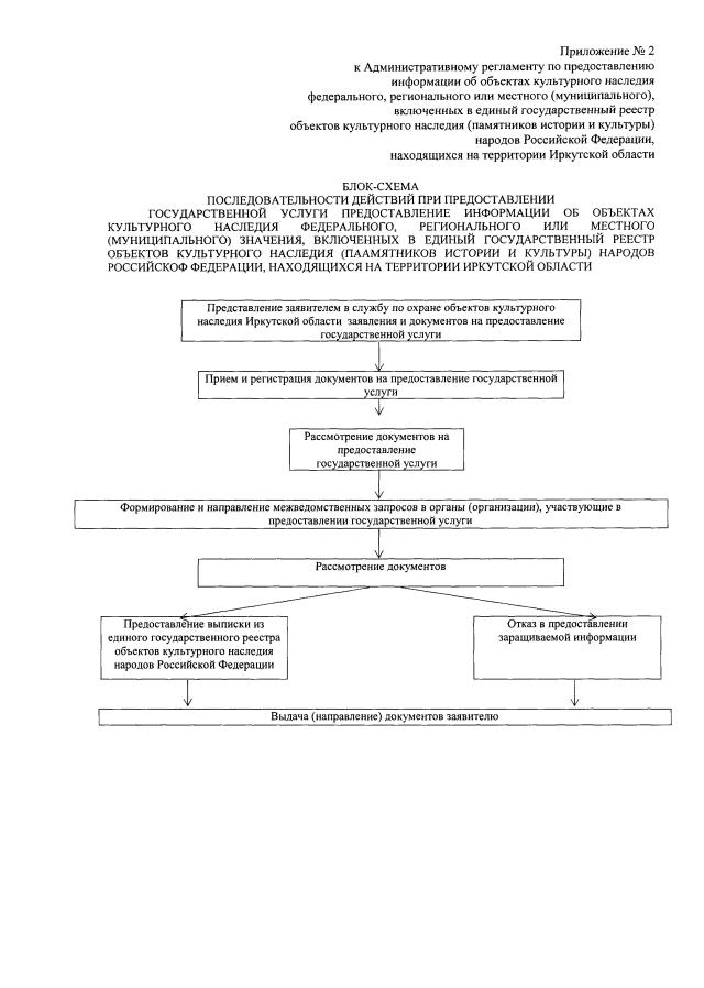
Приказ службы по охране объектов культурного наследия Иркутской области от 06.08.2018 № 215-спр
"Об утверждении административного регламента"
Номер опубликования: 3801201808060005
Дата опубликования: 06.08.2018
Страница №27 из 27:
Увеличить