Постановление Правительства Иркутской области от 05.12.2024 № 977-пп
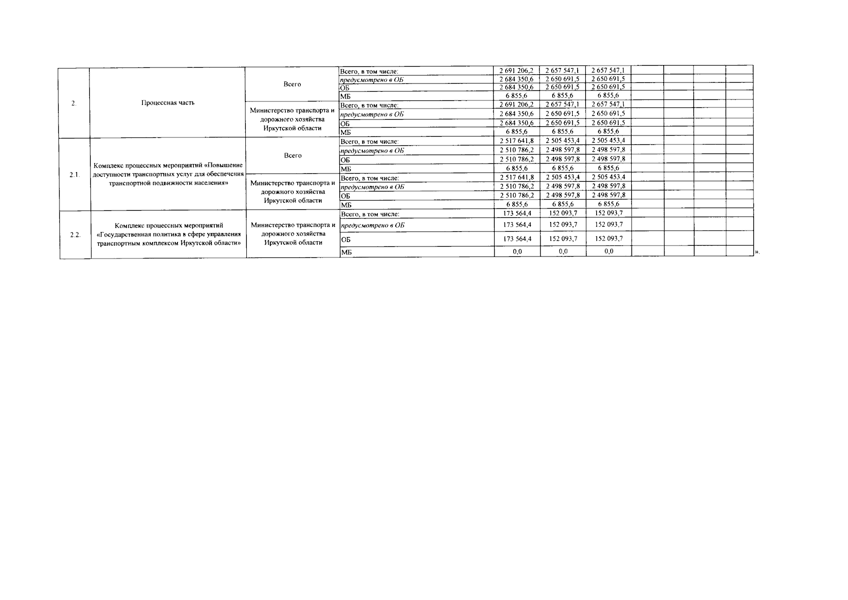
"О внесении изменений в таблицы 1, 4 раздела II "ПАСПОРТ ГОСУДАРСТВЕННОЙ ПРОГРАММЫ ИРКУТСКОЙ ОБЛАСТИ "РАЗВИТИЕ ТРАНСПОРТНОГО КОМПЛЕКСА ИРКУТСКОЙ ОБЛАСТИ" государственной программы Иркутской области "Развитие транспортного комплекса Иркутской области"
"О внесении изменений в таблицы 1, 4 раздела II "ПАСПОРТ ГОСУДАРСТВЕННОЙ ПРОГРАММЫ ИРКУТСКОЙ ОБЛАСТИ "РАЗВИТИЕ ТРАНСПОРТНОГО КОМПЛЕКСА ИРКУТСКОЙ ОБЛАСТИ" государственной программы Иркутской области "Развитие транспортного комплекса Иркутской области"
Номер опубликования: 3800202412090003
Дата опубликования:
09.12.2024
