Официальное опубликование правовых актов
ОФИЦИАЛЬНОЕ ОПУБЛИКОВАНИЕ
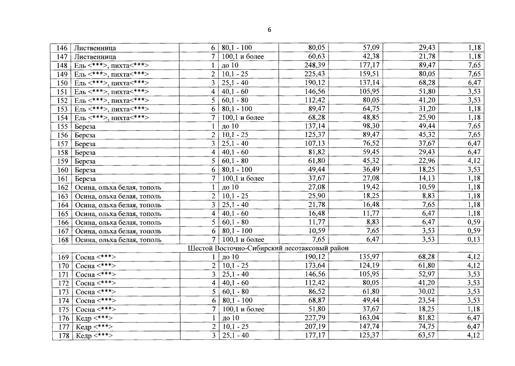
Постановление Правительства Иркутской области от 28.11.2024 № 945-пп
"О внесении изменения в приложение к постановлению администрации Иркутской области от 29 декабря 2007 года № 304-па"
Номер опубликования: 3800202412030002
Дата опубликования: 03.12.2024
Страница №7 из 10:
Увеличить