Официальное опубликование правовых актов
ОФИЦИАЛЬНОЕ ОПУБЛИКОВАНИЕ
Постановление Правительства Иркутской области от 30.07.2024 № 578-пп
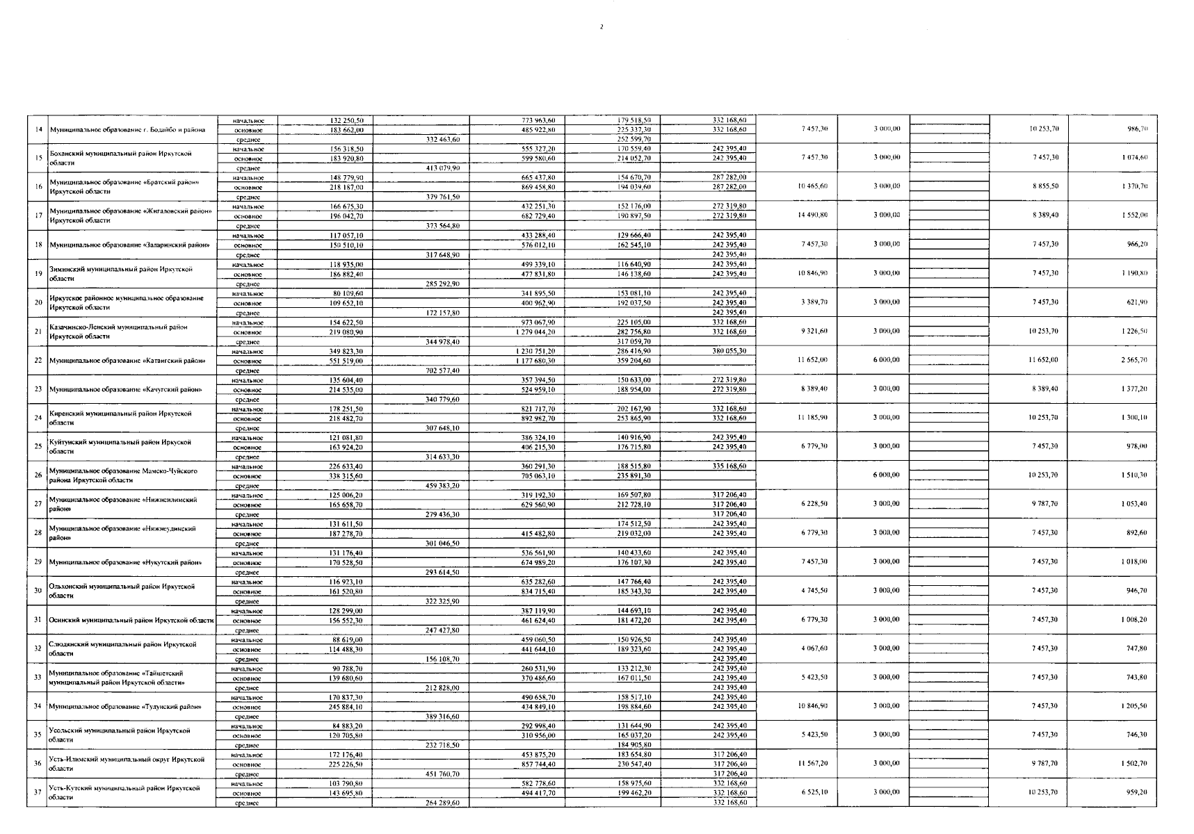
"О нормативах обеспечения государственных гарантий реализации прав на получение общедоступного и бесплатного дошкольного образования в муниципальных дошкольных образовательных и общеобразовательных организациях в Иркутской области, общедоступного и бесплатного начального общего, основного общего, среднего общего образования в муниципальных общеобразовательных организациях в Иркутской области, обеспечения дополнительного образования детей в муниципальных общеобразовательных организациях в Иркутской области на 2025 год и на плановый период 2026 и 2027 годов"
Номер опубликования: 3800202407310004
Дата опубликования: 31.07.2024
Страница №25 из 26:
Увеличить