Постановление Правительства Иркутской области от 18.04.2024 № 296-пп
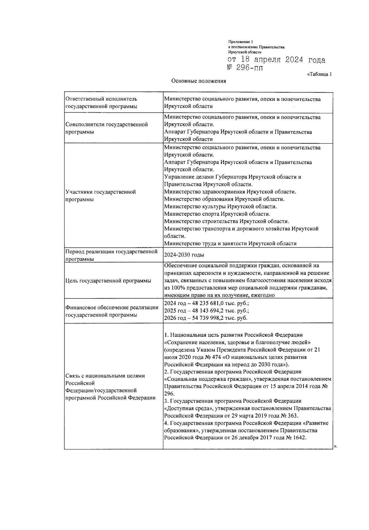
"О внесении изменений в таблицы 1, 2, 4 раздела II "ПАСПОРТ ГОСУДАРСТВЕННОЙ ПРОГРАММЫ ИРКУТСКОЙ ОБЛАСТИ "СОЦИАЛЬНАЯ ПОДДЕРЖКА НАСЕЛЕНИЯ" государственной программы Иркутской области "Социальная поддержка населения"
"О внесении изменений в таблицы 1, 2, 4 раздела II "ПАСПОРТ ГОСУДАРСТВЕННОЙ ПРОГРАММЫ ИРКУТСКОЙ ОБЛАСТИ "СОЦИАЛЬНАЯ ПОДДЕРЖКА НАСЕЛЕНИЯ" государственной программы Иркутской области "Социальная поддержка населения"
Номер опубликования: 3800202404220004
Дата опубликования:
22.04.2024
