Официальное опубликование правовых актов
ОФИЦИАЛЬНОЕ ОПУБЛИКОВАНИЕ
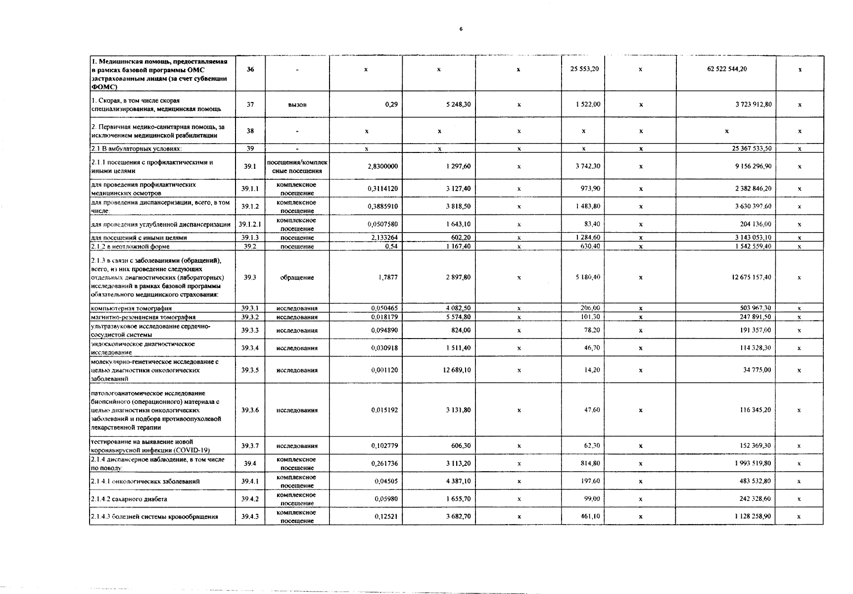
Постановление Правительства Иркутской области от 29.03.2024 № 232-пп
"О внесении изменений в Территориальную программу государственных гарантий бесплатного оказания гражданам медицинской помощи в Иркутской области на 2024 год и на плановый период 2025 и 2026 годов"
Номер опубликования: 3800202404020001
Дата опубликования: 02.04.2024
Страница №9 из 15:
Увеличить