Официальное опубликование правовых актов
ОФИЦИАЛЬНОЕ ОПУБЛИКОВАНИЕ
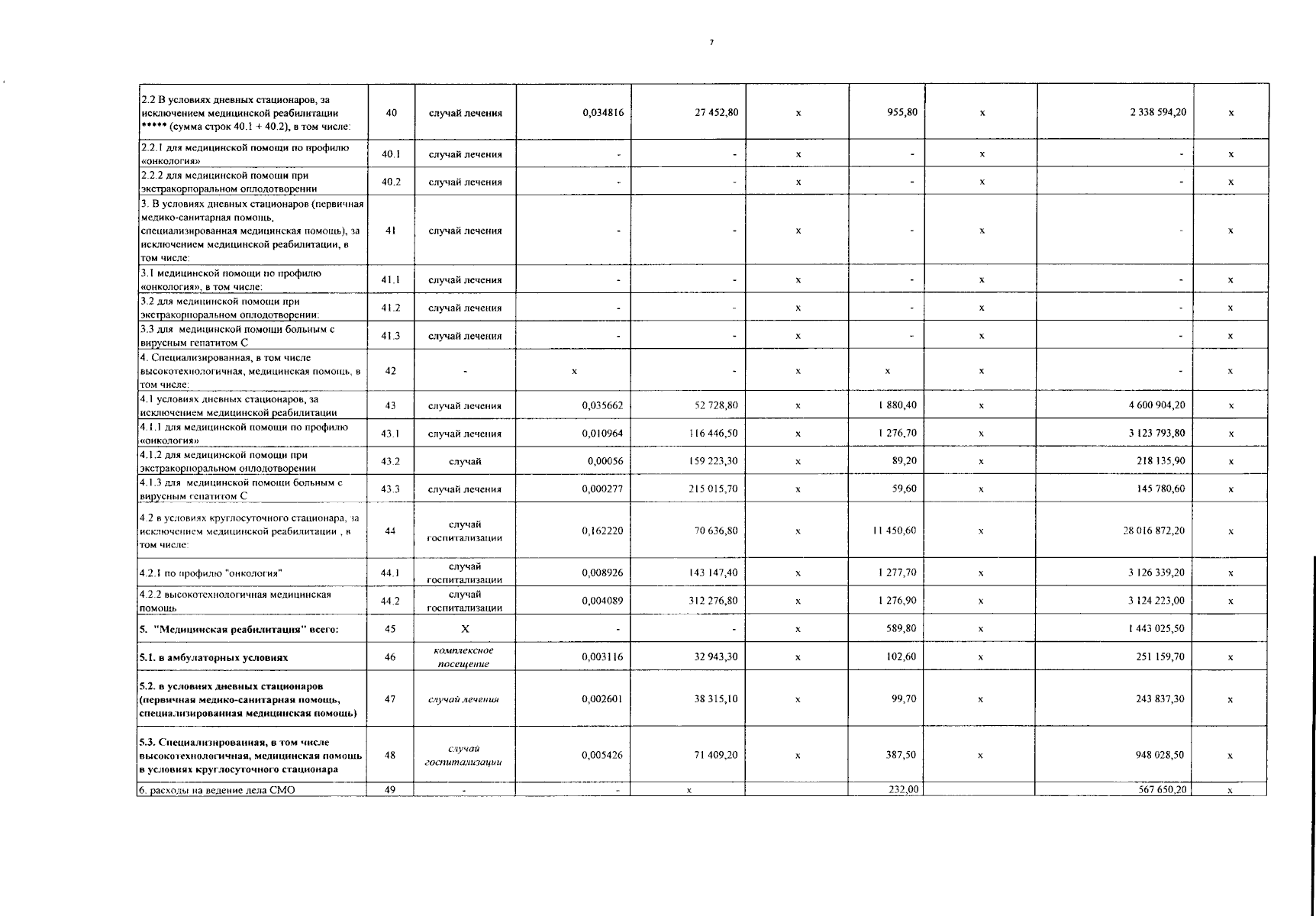
Постановление Правительства Иркутской области от 20.03.2024 № 199-пп
"О внесении изменений в Территориальную программу государственных гарантий бесплатного оказания гражданам медицинской помощи в Иркутской области на 2024 год и на плановый период 2025 и 2026 годов"
Номер опубликования: 3800202403220012
Дата опубликования: 22.03.2024
Страница №67 из 90:
Увеличить