Официальное опубликование правовых актов
ОФИЦИАЛЬНОЕ ОПУБЛИКОВАНИЕ
Постановление Правительства Иркутской области от 01.03.2024 № 158-пп
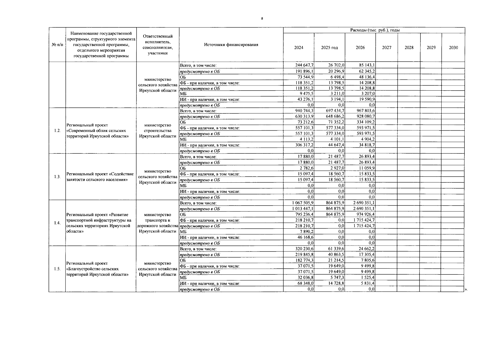
"О внесении изменения в раздел II "ПАСПОРТ ГОСУДАРСТВЕННОЙ ПРОГРАММЫ ИРКУТСКОЙ ОБЛАСТИ "КОМПЛЕКСНОЕ РАЗВИТИЕ СЕЛЬСКИХ ТЕРРИТОРИЙ" государственной программы Иркутской области "Комплексное развитие сельских территорий" и признании утратившим силу постановления Правительства Иркутской области от 24 ноября 2023 года № 1070-пп"
Номер опубликования: 3800202403060007
Дата опубликования: 06.03.2024
Страница №9 из 9:
Увеличить