Официальное опубликование правовых актов
ОФИЦИАЛЬНОЕ ОПУБЛИКОВАНИЕ
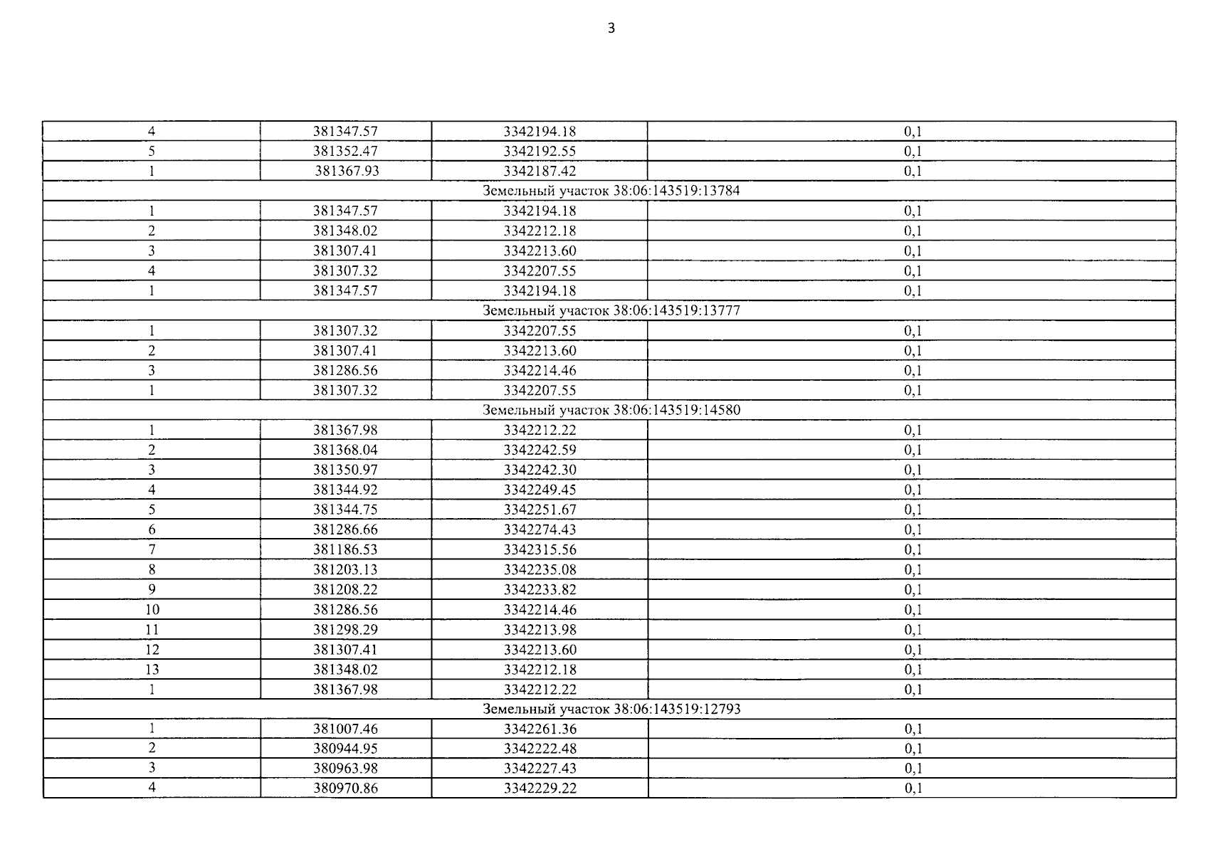
Постановление Правительства Иркутской области от 27.02.2024 № 139-пп
"О резервировании земель для государственных нужд Иркутской области"
Номер опубликования: 3800202402280004
Дата опубликования: 28.02.2024
Страница №5 из 39:
Увеличить