Официальное опубликование правовых актов
ОФИЦИАЛЬНОЕ ОПУБЛИКОВАНИЕ
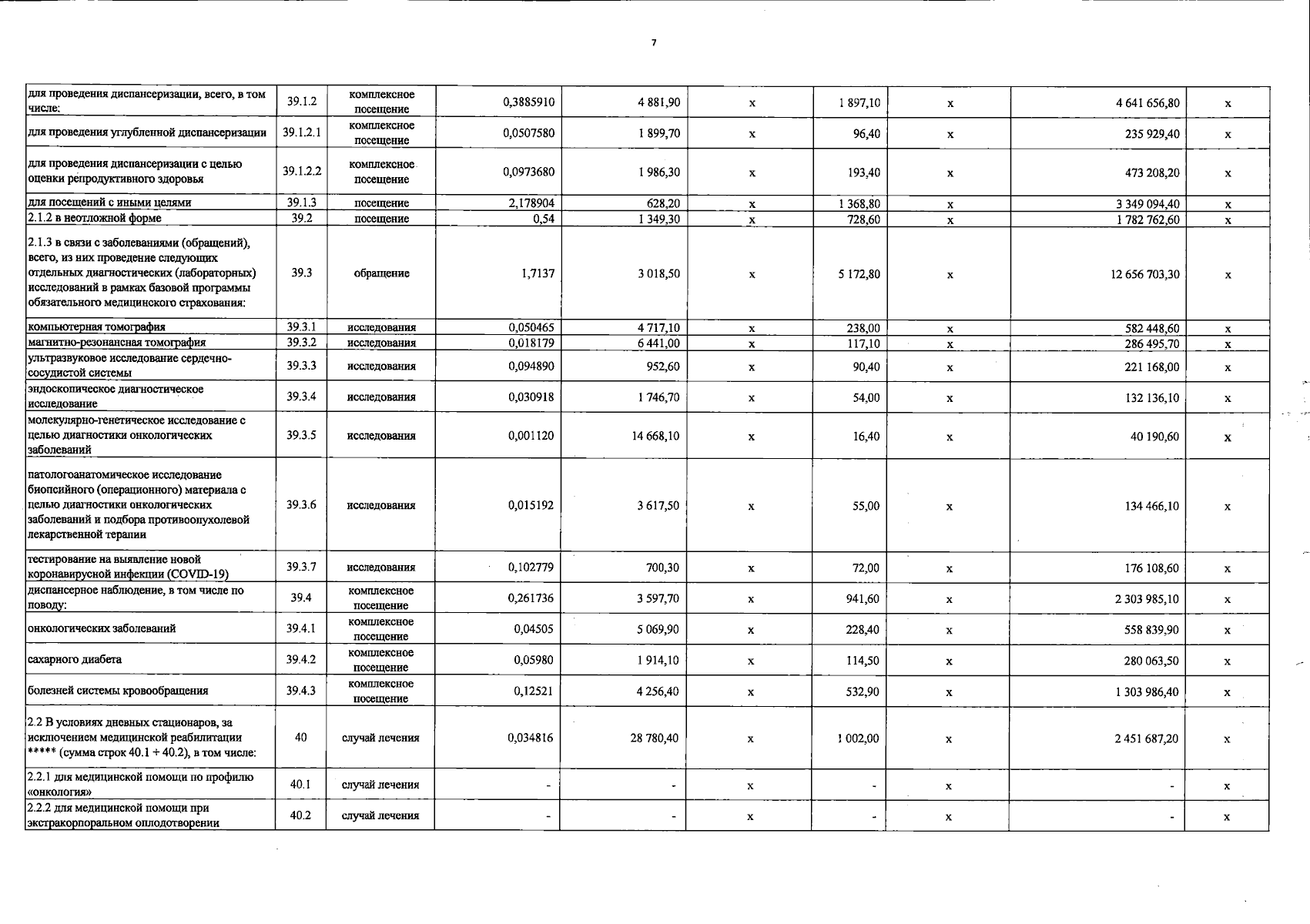
Постановление Правительства Иркутской области от 29.12.2023 № 1269-пп
"О Территориальной программе государственных гарантий бесплатного оказания гражданам медицинской помощи в Иркутской области на 2024 год и на плановый период 2025 и 2026 годов"
Номер опубликования: 3800202401040010
Дата опубликования: 04.01.2024
Страница №129 из 147:
Увеличить