Официальное опубликование правовых актов
ОФИЦИАЛЬНОЕ ОПУБЛИКОВАНИЕ
Постановление Правительства Иркутской области от 29.12.2023 № 1270-пп
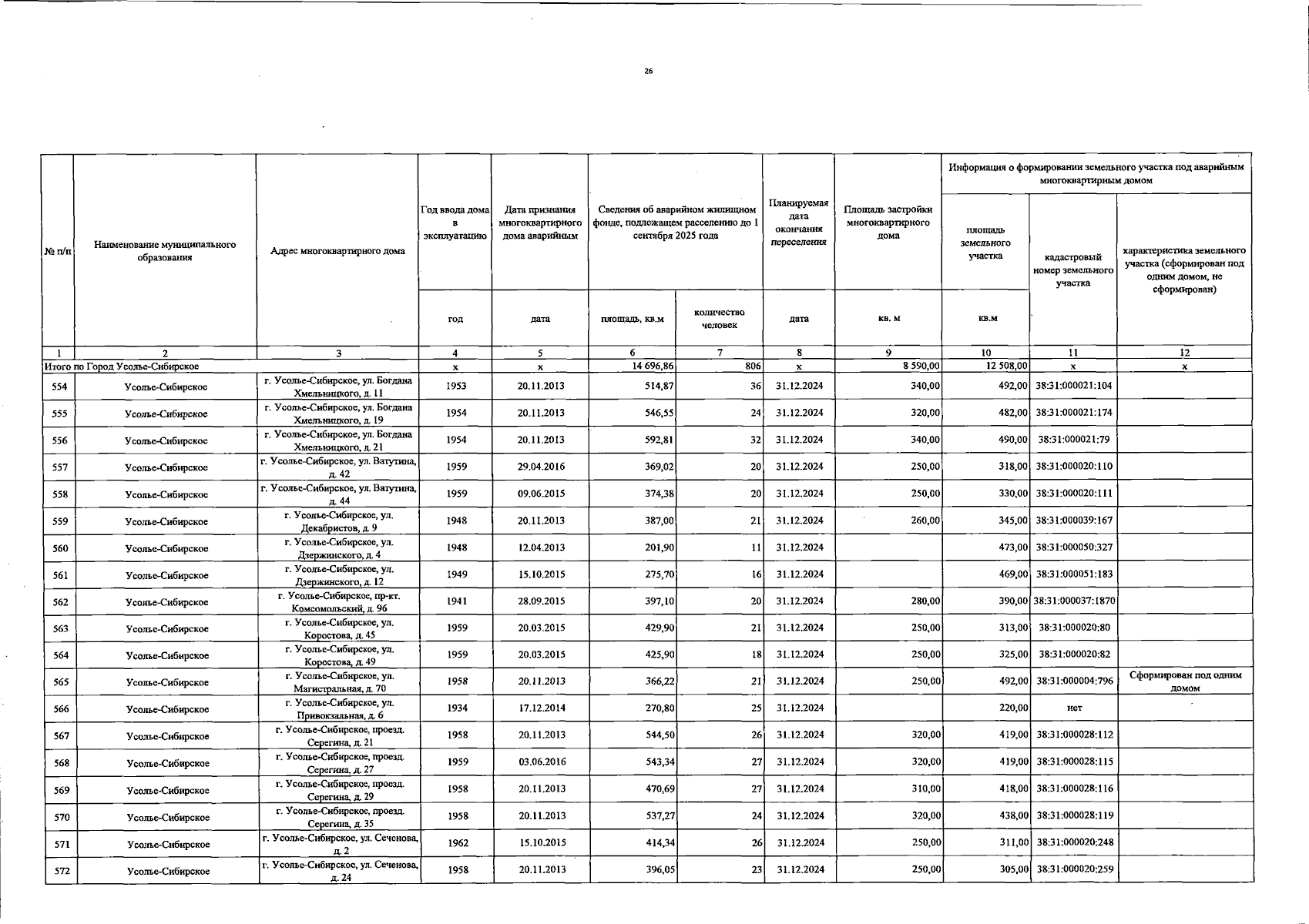
"О внесении изменений в региональную адресную программу Иркутской области "Переселение граждан, проживающих на территории Иркутской области, из аварийного жилищного фонда, признанного таковым до 1 января 2017 года, в 2019 – 2025 годах"
Номер опубликования: 3800202401040008
Дата опубликования: 04.01.2024
Страница №30 из 66:
Увеличить