Официальное опубликование правовых актов
ОФИЦИАЛЬНОЕ ОПУБЛИКОВАНИЕ
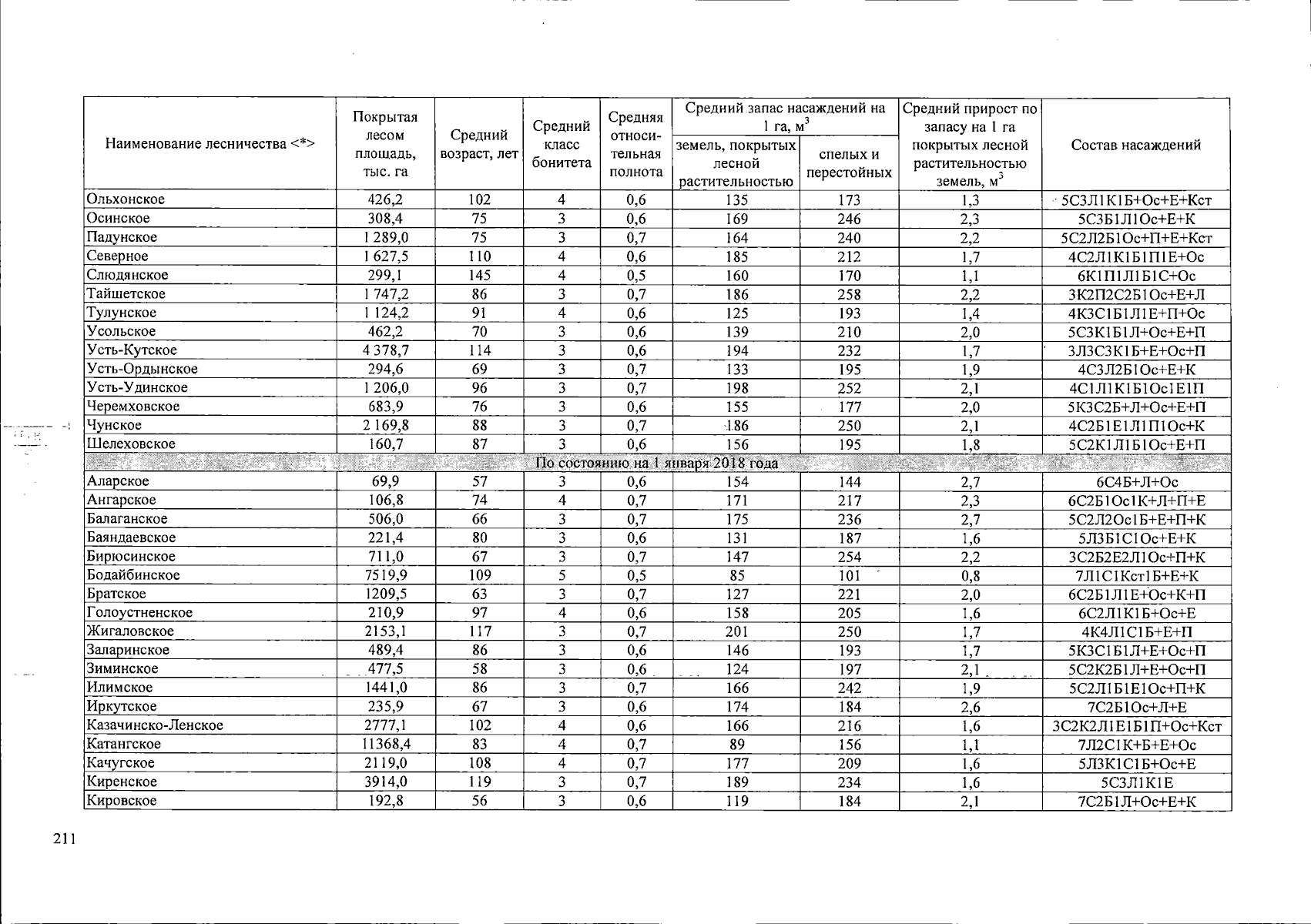
Указ Губернатора Иркутской области от 28.12.2023 № 433-уг
"О внесении изменения в лесной план Иркутской области на 2019-2028 годы"
Номер опубликования: 3800202312290030
Дата опубликования: 29.12.2023
Страница №212 из 278:
Увеличить