Официальное опубликование правовых актов
ОФИЦИАЛЬНОЕ ОПУБЛИКОВАНИЕ
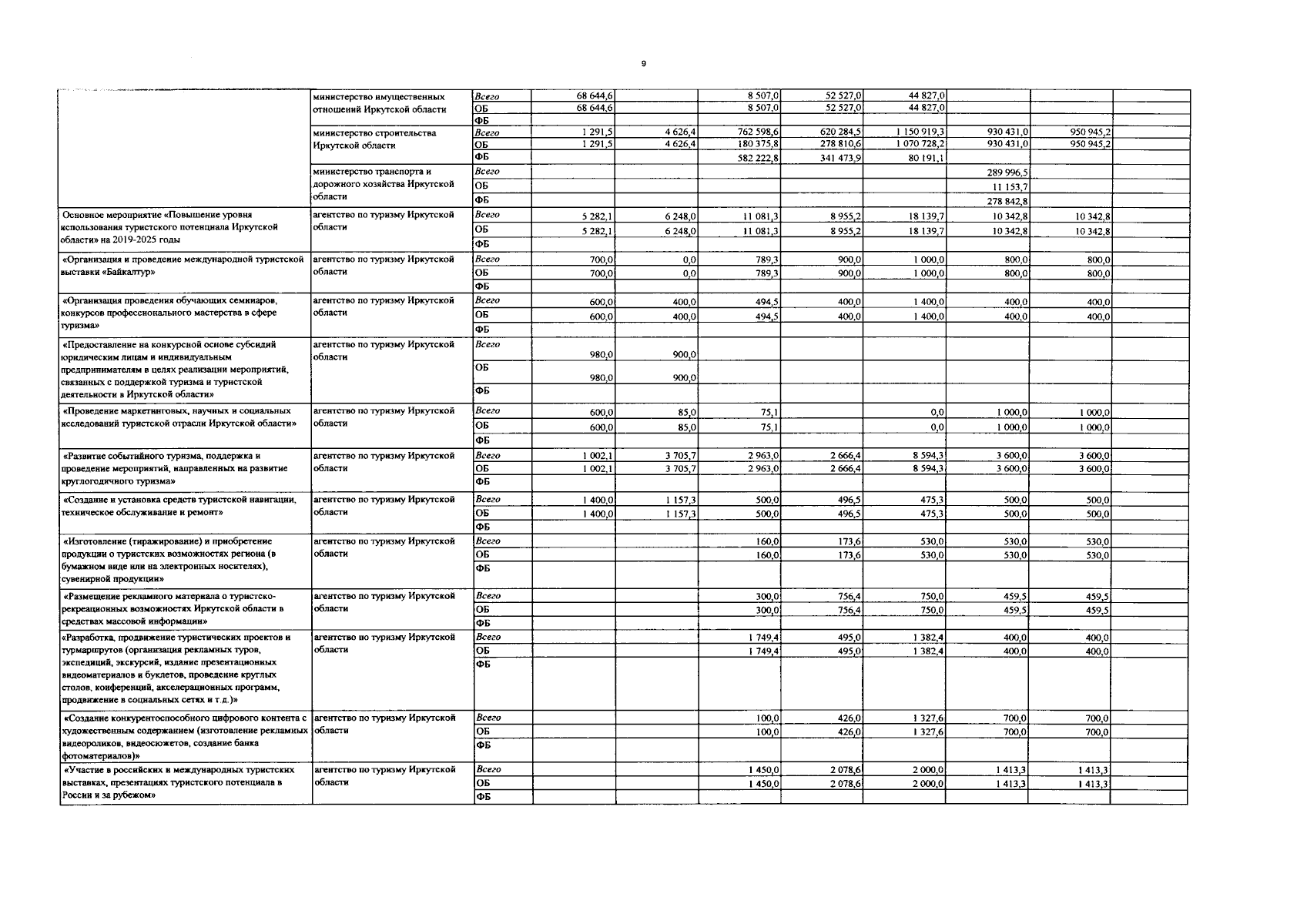
Постановление Правительства Иркутской области от 15.12.2023 № 1170-пп
"О внесении изменений в государственную программу Иркутской области "Экономическое развитие и инновационная экономика" на 2019 - 2026 годы"
Номер опубликования: 3800202312220014
Дата опубликования: 22.12.2023
Страница №29 из 59:
Увеличить