Официальное опубликование правовых актов
ОФИЦИАЛЬНОЕ ОПУБЛИКОВАНИЕ
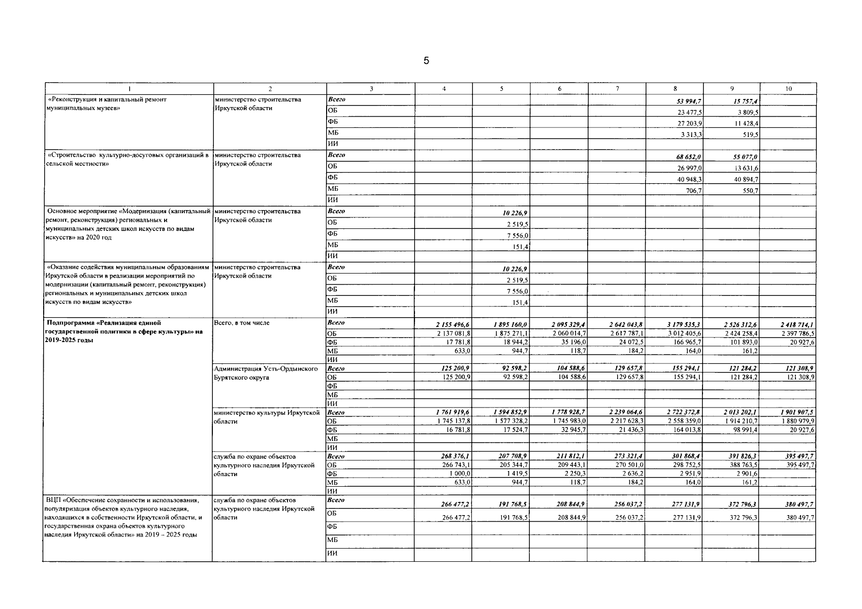
Постановление Правительства Иркутской области от 15.12.2023 № 1180-пп
"О внесении изменений в приложения 6 - 8 к государственной программе Иркутской области "Развитие культуры" на 2019 - 2025 годы"
Номер опубликования: 3800202312220012
Дата опубликования: 22.12.2023
Страница №19 из 42:
Увеличить