Официальное опубликование правовых актов
ОФИЦИАЛЬНОЕ ОПУБЛИКОВАНИЕ
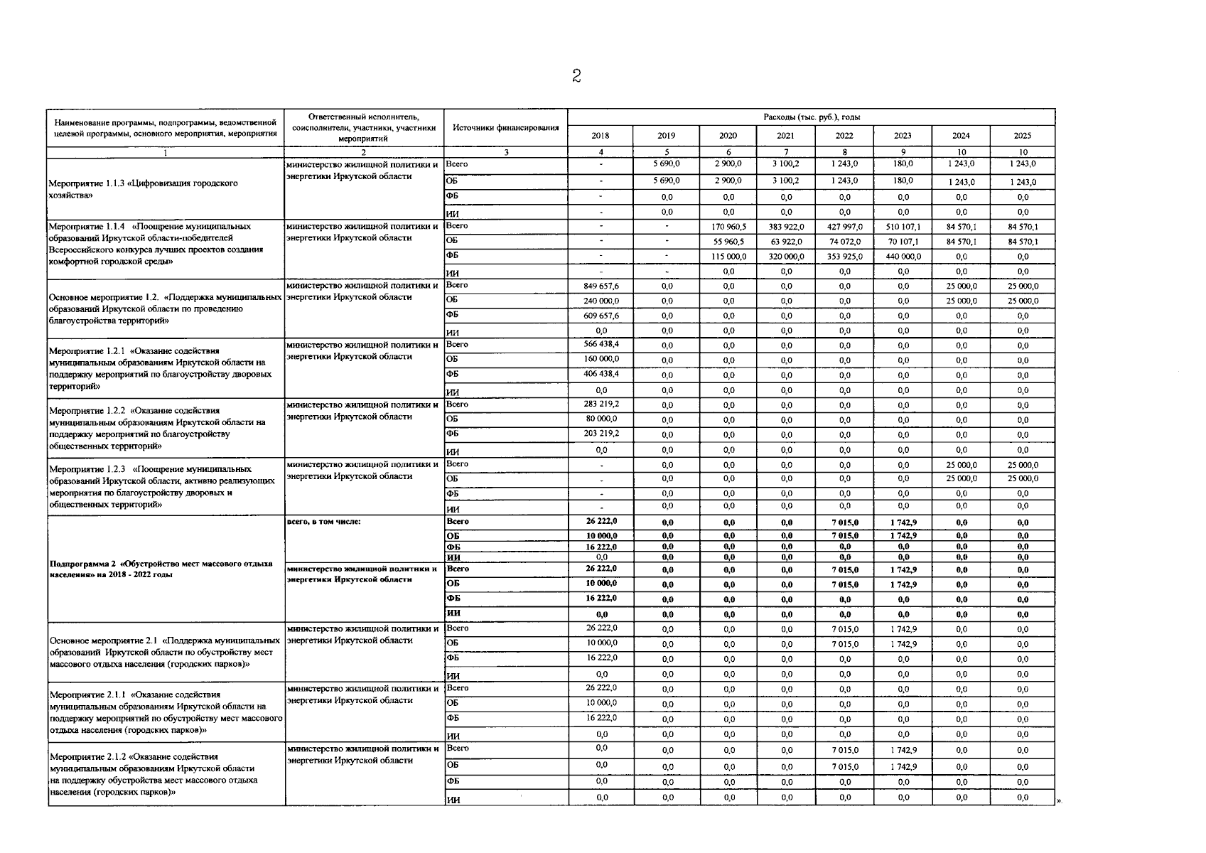
Постановление Правительства Иркутской области от 15.12.2023 № 1168-пп
"О внесении изменений в государственную программу Иркутской области "Формирование современной городской среды" на 2018 – 2025 годы"
Номер опубликования: 3800202312220002
Дата опубликования: 22.12.2023
Страница №12 из 14:
Увеличить