Официальное опубликование правовых актов
ОФИЦИАЛЬНОЕ ОПУБЛИКОВАНИЕ
Постановление Правительства Иркутской области от 15.12.2023 № 1174-пп
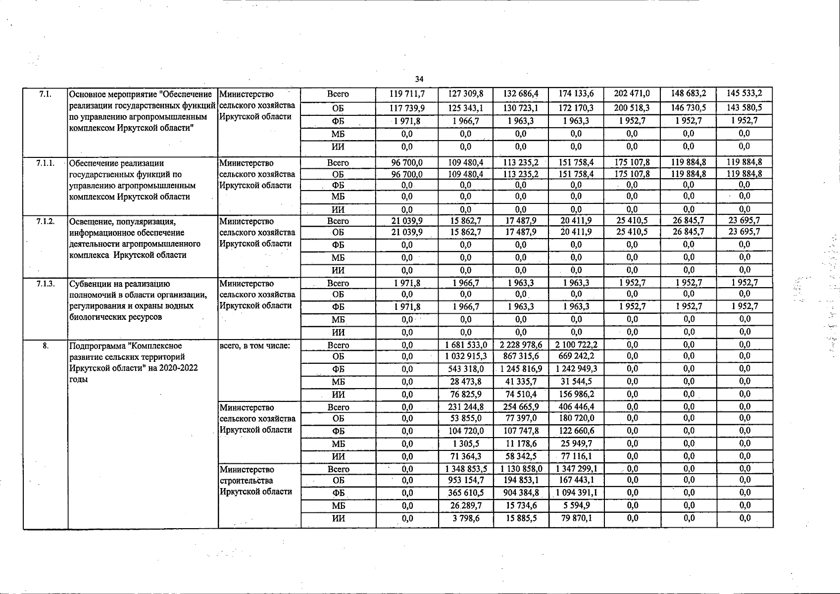
"О внесении изменений в государственную программу Иркутской области "Развитие сельского хозяйства и регулирование рынков сельскохозяйственной продукции, сырья и продовольствия" на 2019 - 2025 годы"
Номер опубликования: 3800202312210008
Дата опубликования: 21.12.2023
Страница №117 из 164:
Увеличить