Официальное опубликование правовых актов
ОФИЦИАЛЬНОЕ ОПУБЛИКОВАНИЕ
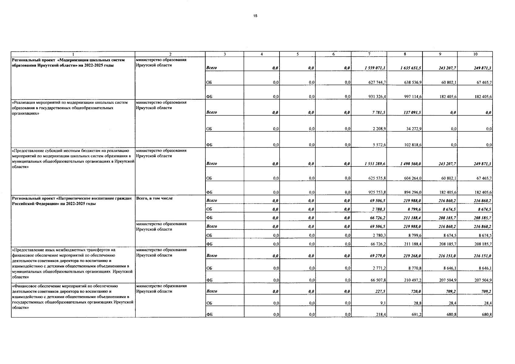
Постановление Правительства Иркутской области от 08.12.2023 № 1106-пп
"О внесении изменений в государственную программу Иркутской области "Развитие образования" на 2019 - 2025 годы"
Номер опубликования: 3800202312130001
Дата опубликования: 13.12.2023
Страница №66 из 164:
Увеличить