Официальное опубликование правовых актов
ОФИЦИАЛЬНОЕ ОПУБЛИКОВАНИЕ
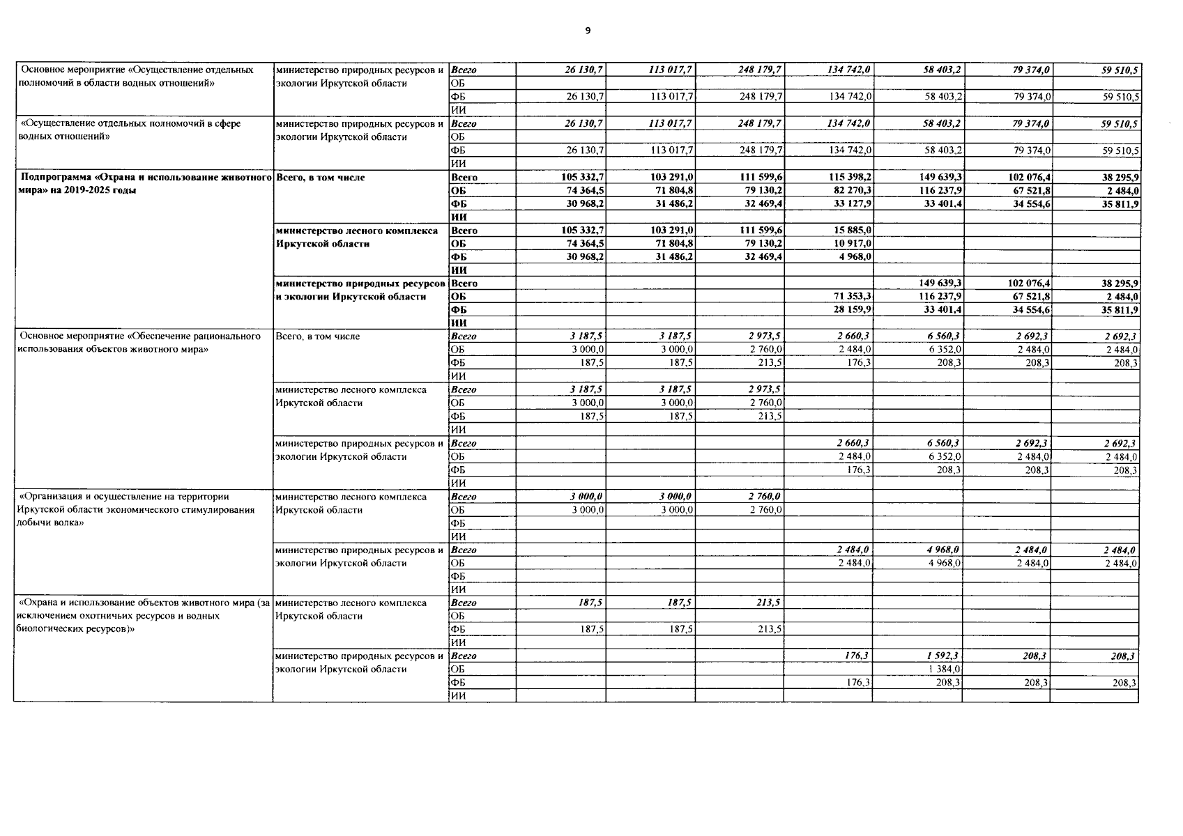
Постановление Правительства Иркутской области от 11.12.2023 № 1109-пп
"О внесении изменений в государственную программу Иркутской области "Охрана окружающей среды" на 2019 – 2025 годы"
Номер опубликования: 3800202312120005
Дата опубликования: 12.12.2023
Страница №44 из 62:
Увеличить