Официальное опубликование правовых актов
ОФИЦИАЛЬНОЕ ОПУБЛИКОВАНИЕ
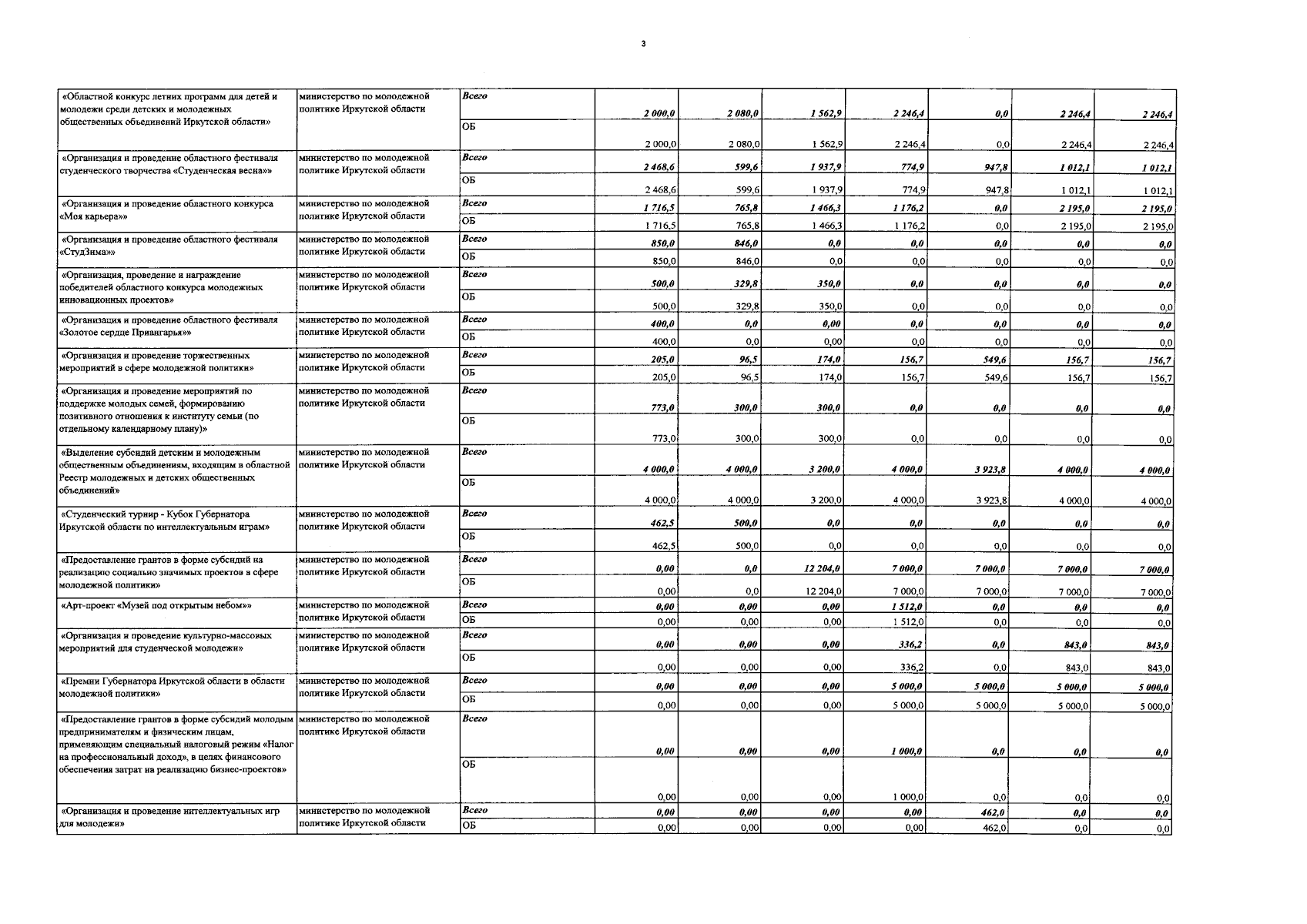
Постановление Правительства Иркутской области от 08.12.2023 № 1105-пп
"О внесении изменений в государственную программу Иркутской области "Молодежная политика" на 2019 - 2025 годы"
Номер опубликования: 3800202312120001
Дата опубликования: 12.12.2023
Страница №16 из 42:
Увеличить