Официальное опубликование правовых актов
ОФИЦИАЛЬНОЕ ОПУБЛИКОВАНИЕ
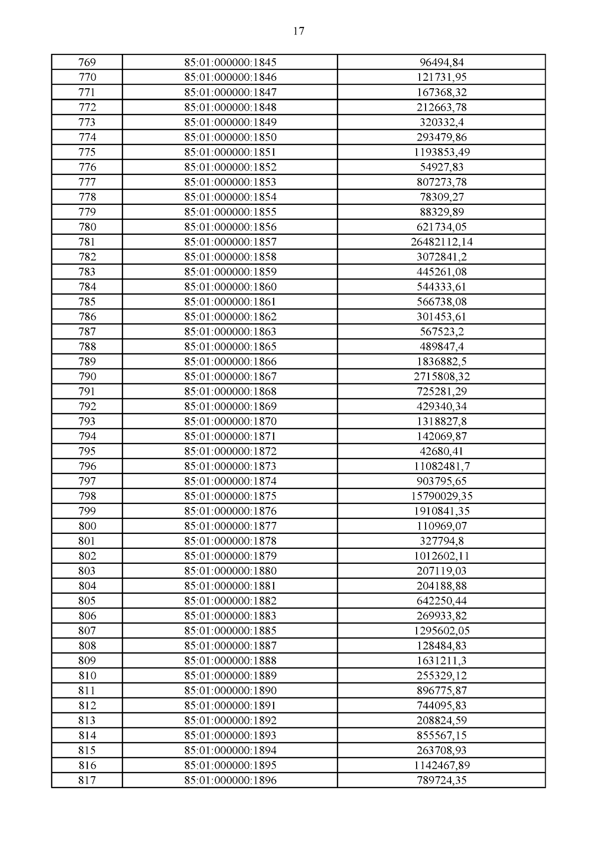
Постановление Правительства Иркутской области от 23.11.2023 № 1068-пп
"Об утверждении результатов определения кадастровой стоимости зданий, помещений, сооружений, объектов незавершенного строительства, машино-мест на территории Иркутской области и о признании утратившими силу отдельных постановлений Правительства Иркутской области"
Номер опубликования: 3800202312010021
Дата опубликования: 01.12.2023
Страница №19 из 33331:
Увеличить