Официальное опубликование правовых актов
ОФИЦИАЛЬНОЕ ОПУБЛИКОВАНИЕ
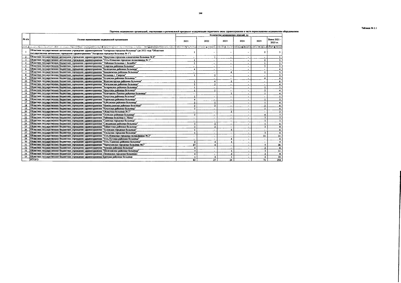
Постановление Правительства Иркутской области от 24.11.2023 № 1069-пп
"О внесении изменений в региональную программу модернизации первичного звена здравоохранения Иркутской области на 2021-2025 годы"
Номер опубликования: 3800202312010004
Дата опубликования: 01.12.2023
Страница №302 из 376:
Увеличить