Официальное опубликование правовых актов
ОФИЦИАЛЬНОЕ ОПУБЛИКОВАНИЕ
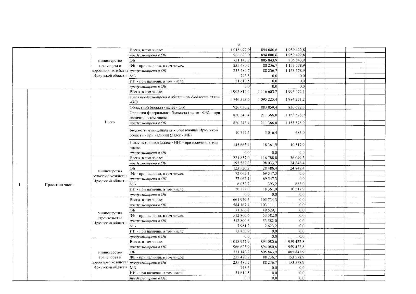
Постановление Правительства Иркутской области от 13.11.2023 № 1017-пп
"Об утверждении государственной программы Иркутской области "Комплексное развитие сельских территорий" и признании утратившими силу постановлений Правительства Иркутской области"
Номер опубликования: 3800202311200011
Дата опубликования: 20.11.2023
Страница №16 из 19:
Увеличить