Официальное опубликование правовых актов
ОФИЦИАЛЬНОЕ ОПУБЛИКОВАНИЕ
Постановление Правительства Иркутской области от 13.11.2023 № 1014-пп
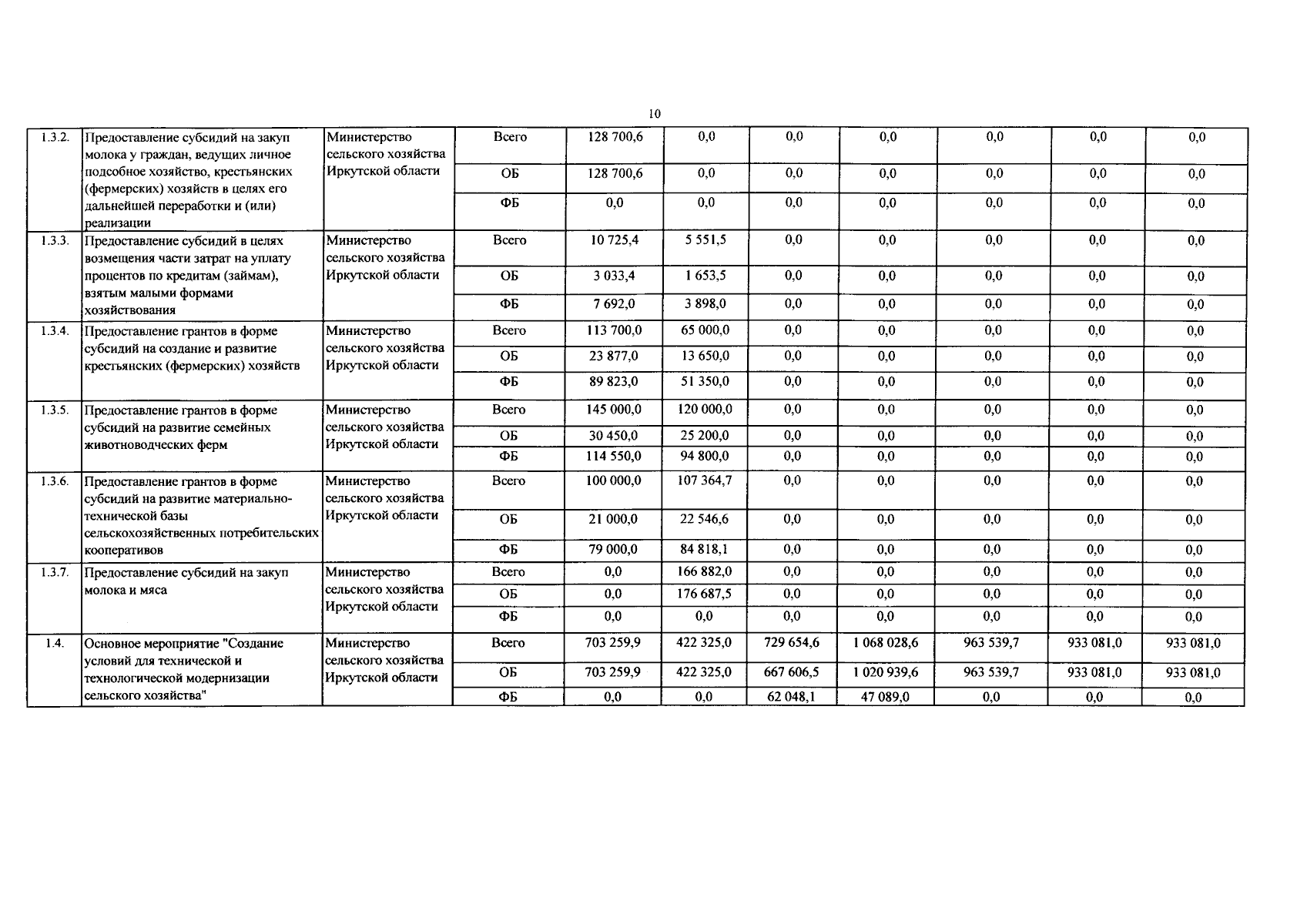
"О внесении изменений в государственную программу Иркутской области "Развитие сельского хозяйства и регулирование рынков сельскохозяйственной продукции, сырья и продовольствия" на 2019 - 2025 годы"
Номер опубликования: 3800202311170011
Дата опубликования: 17.11.2023
Страница №15 из 89:
Увеличить