Официальное опубликование правовых актов
ОФИЦИАЛЬНОЕ ОПУБЛИКОВАНИЕ
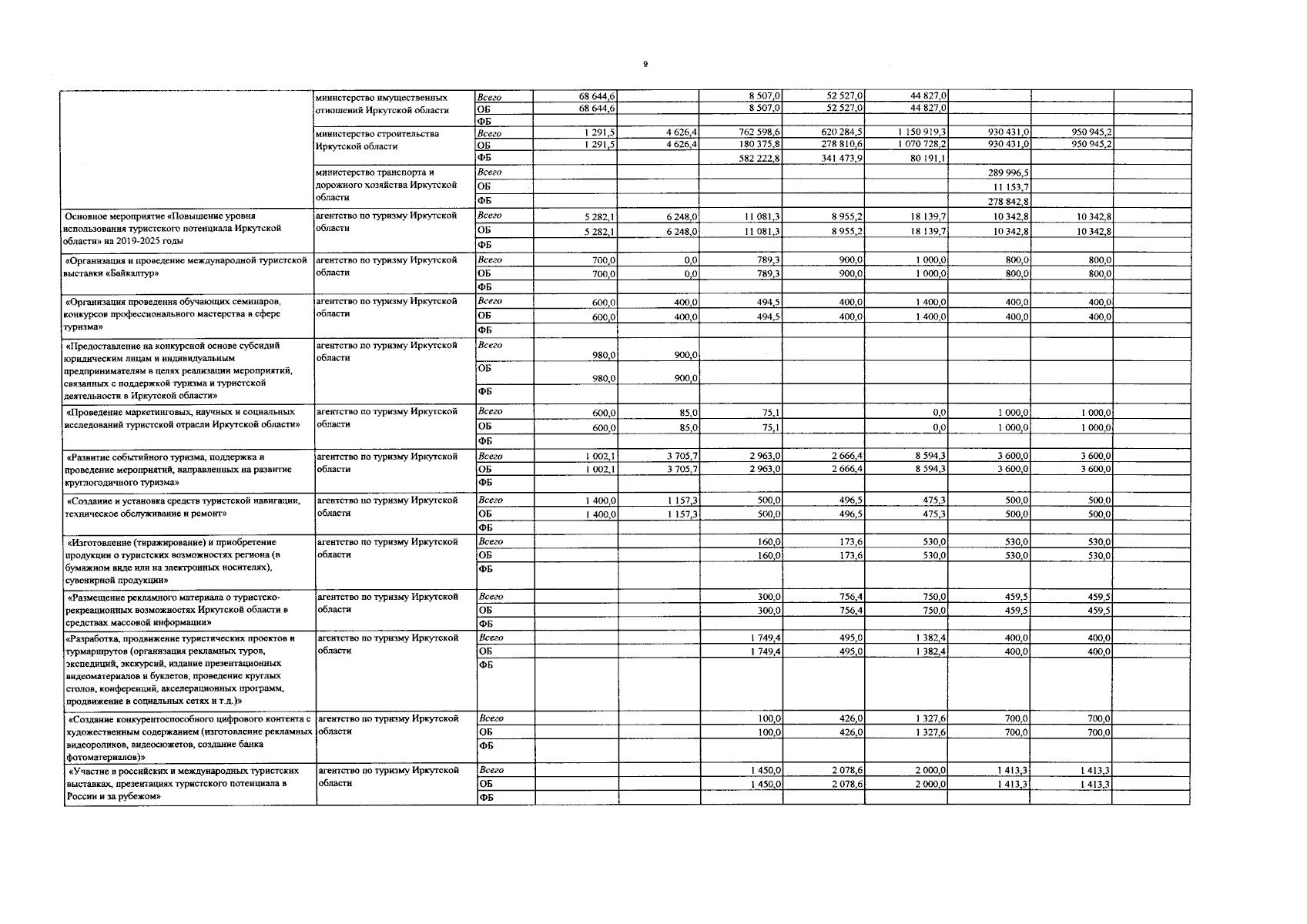
Постановление Правительства Иркутской области от 13.11.2023 № 1004-пп
"О внесении изменений в государственную программу Иркутской области "Экономическое развитие и инновационная экономика" на 2019 - 2026 годы"
Номер опубликования: 3800202311150005
Дата опубликования: 15.11.2023
Страница №31 из 61:
Увеличить