Официальное опубликование правовых актов
ОФИЦИАЛЬНОЕ ОПУБЛИКОВАНИЕ
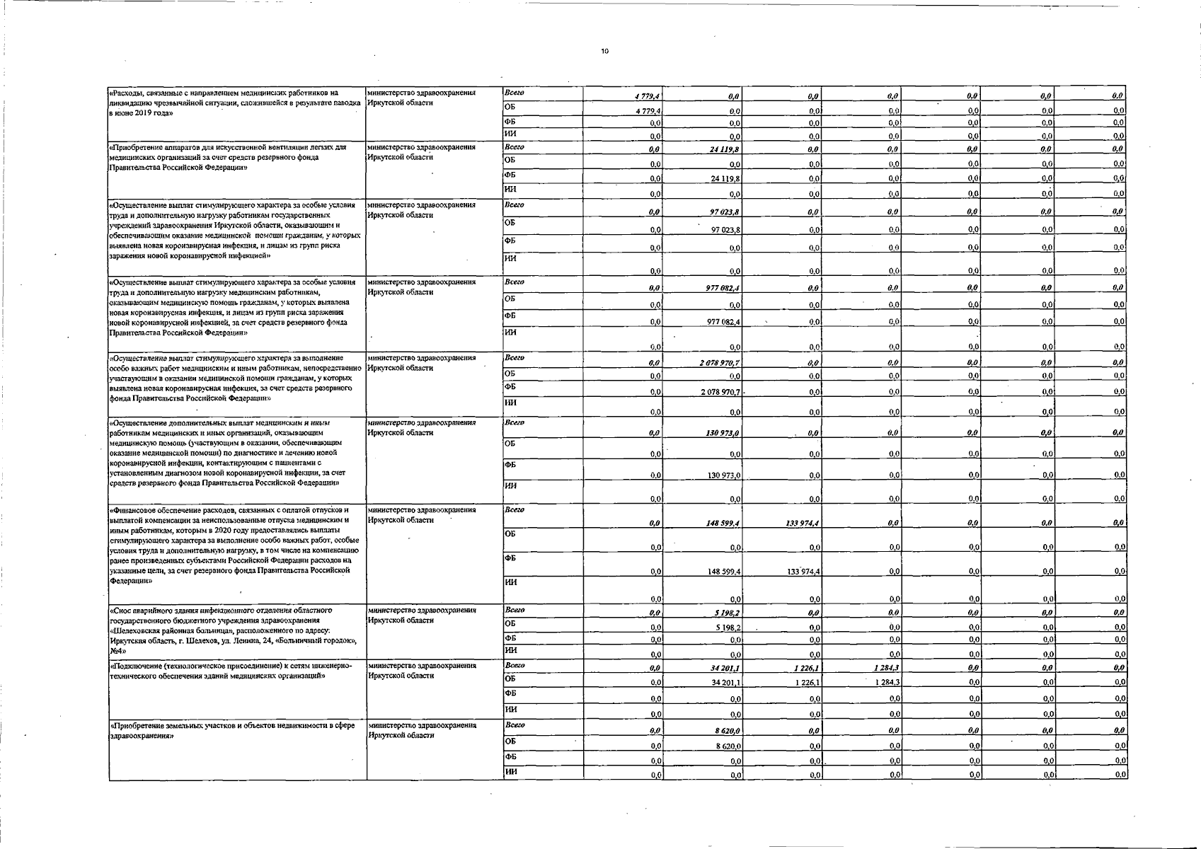
Постановление Правительства Иркутской области от 03.11.2023 № 973-пп
"О внесении изменений в государственную программу Иркутской области "Развитие здравоохранения" на 2019 - 2025 годы"
Номер опубликования: 3800202311070007
Дата опубликования: 07.11.2023
Страница №21 из 82:
Увеличить