Официальное опубликование правовых актов
ОФИЦИАЛЬНОЕ ОПУБЛИКОВАНИЕ
Постановление Правительства Иркутской области от 03.11.2023 № 972-пп
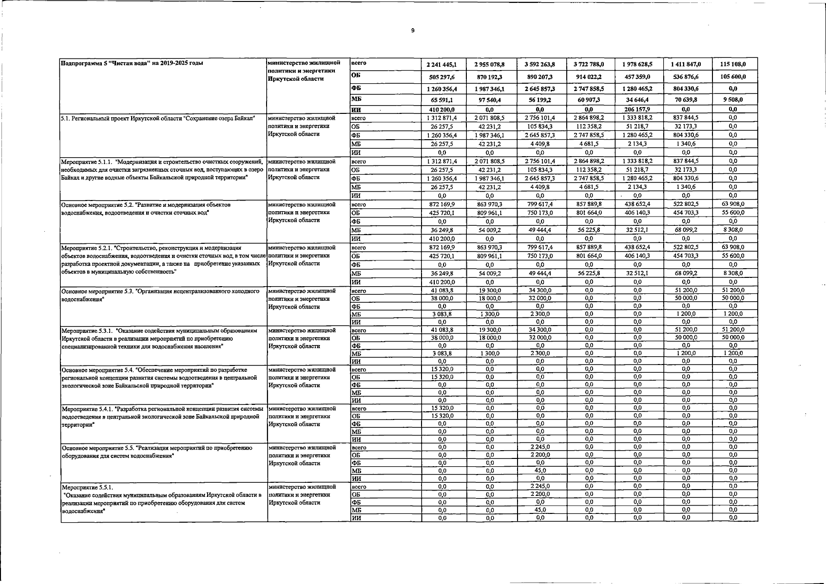
"О внесении изменений в государственную программу Иркутской области "Развитие жилищно-коммунального хозяйства и повышение энергоэффективности Иркутской области" на 2019 - 2025 годы"
Номер опубликования: 3800202311070004
Дата опубликования: 07.11.2023
Страница №67 из 71:
Увеличить