Официальное опубликование правовых актов
ОФИЦИАЛЬНОЕ ОПУБЛИКОВАНИЕ
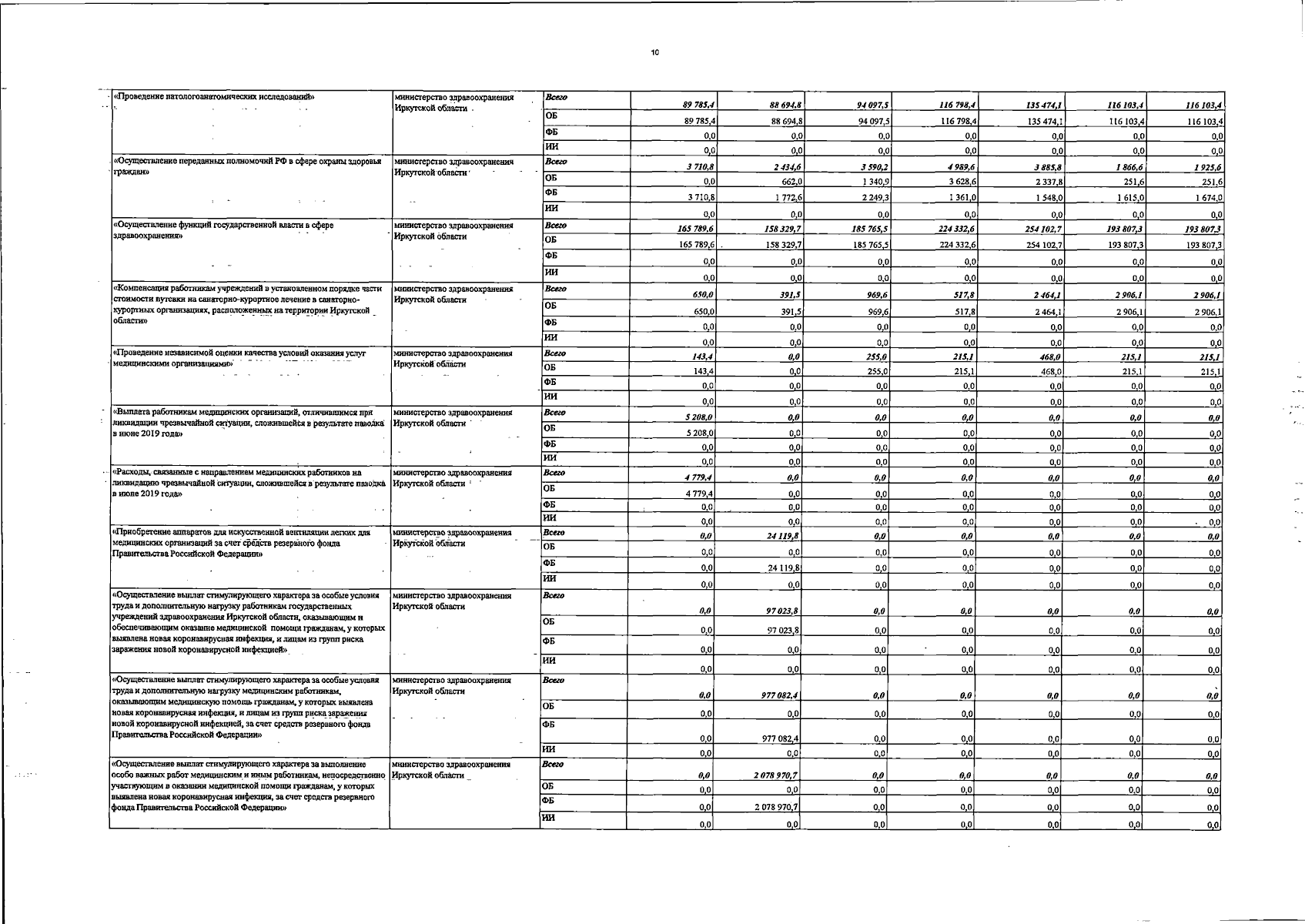
Постановление Правительства Иркутской области от 20.09.2023 № 831-пп
"О внесении изменений в государственную программу Иркутской области "Развитие здравоохранения" на 2019 - 2025 годы"
Номер опубликования: 3800202309250002
Дата опубликования: 25.09.2023
Страница №23 из 59:
Увеличить