Официальное опубликование правовых актов
ОФИЦИАЛЬНОЕ ОПУБЛИКОВАНИЕ
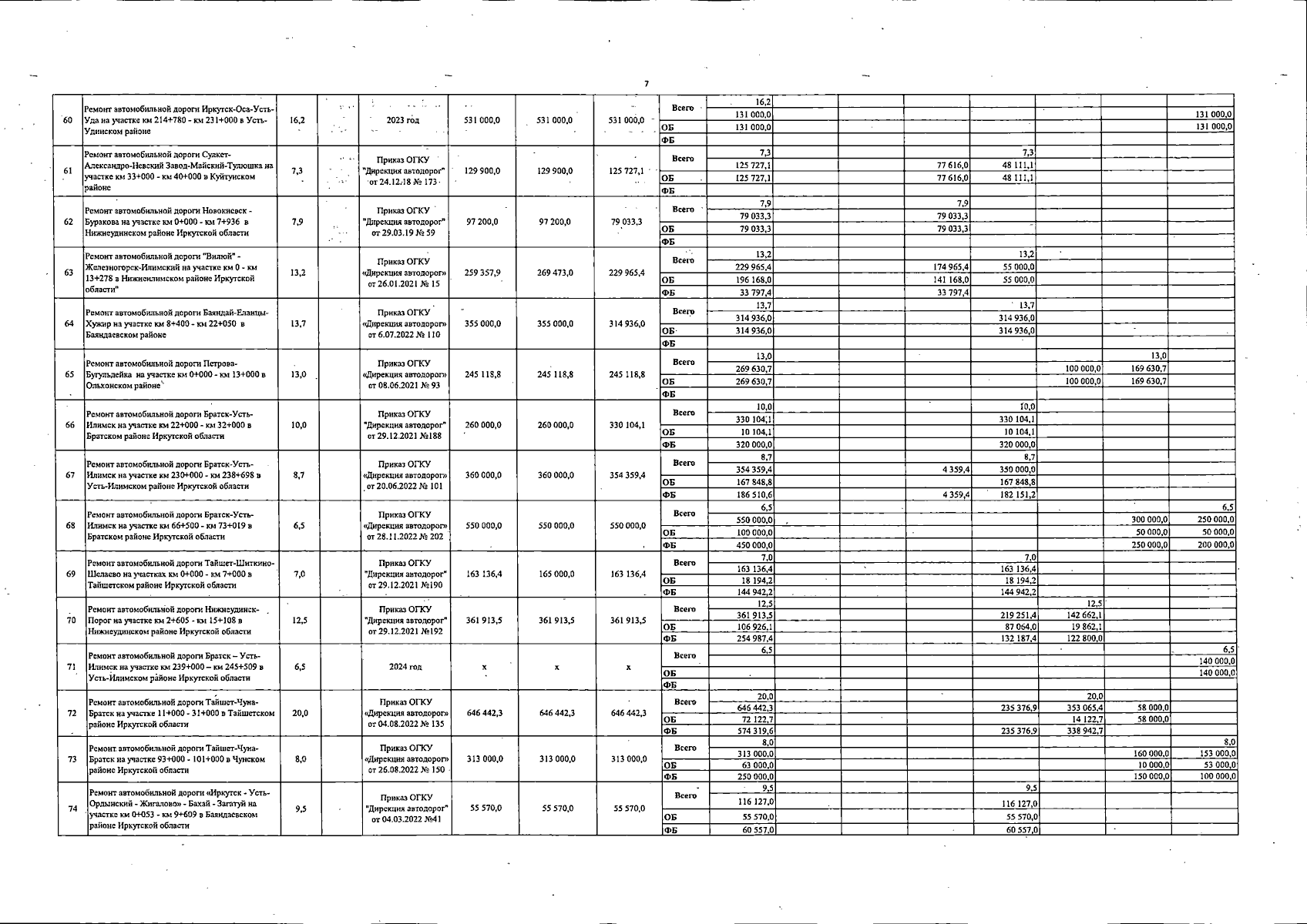
Постановление Правительства Иркутской области от 30.08.2023 № 758-пп
"О внесении изменений в государственную программу Иркутской области "Развитие дорожного хозяйства и сети искусственных сооружений" на 2019 - 2025 годы"
Номер опубликования: 3800202309040009
Дата опубликования: 04.09.2023
Страница №12 из 111:
Увеличить