Официальное опубликование правовых актов
ОФИЦИАЛЬНОЕ ОПУБЛИКОВАНИЕ
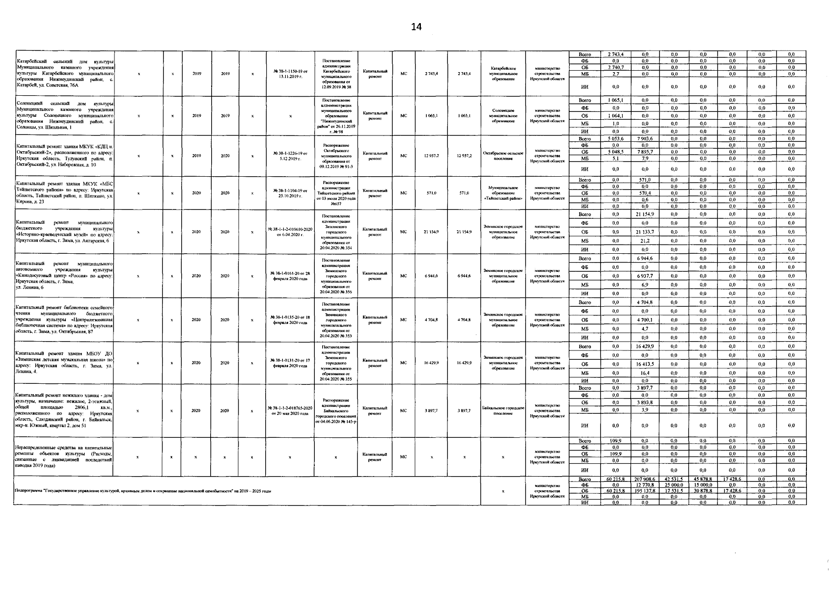
Постановление Правительства Иркутской области от 28.08.2023 № 751-пп
"О внесении изменений в государственную программу Иркутской области "Развитие культуры" на 2019 - 2025 годы"
Номер опубликования: 3800202308290001
Дата опубликования: 29.08.2023
Страница №56 из 57:
Увеличить