Официальное опубликование правовых актов
ОФИЦИАЛЬНОЕ ОПУБЛИКОВАНИЕ
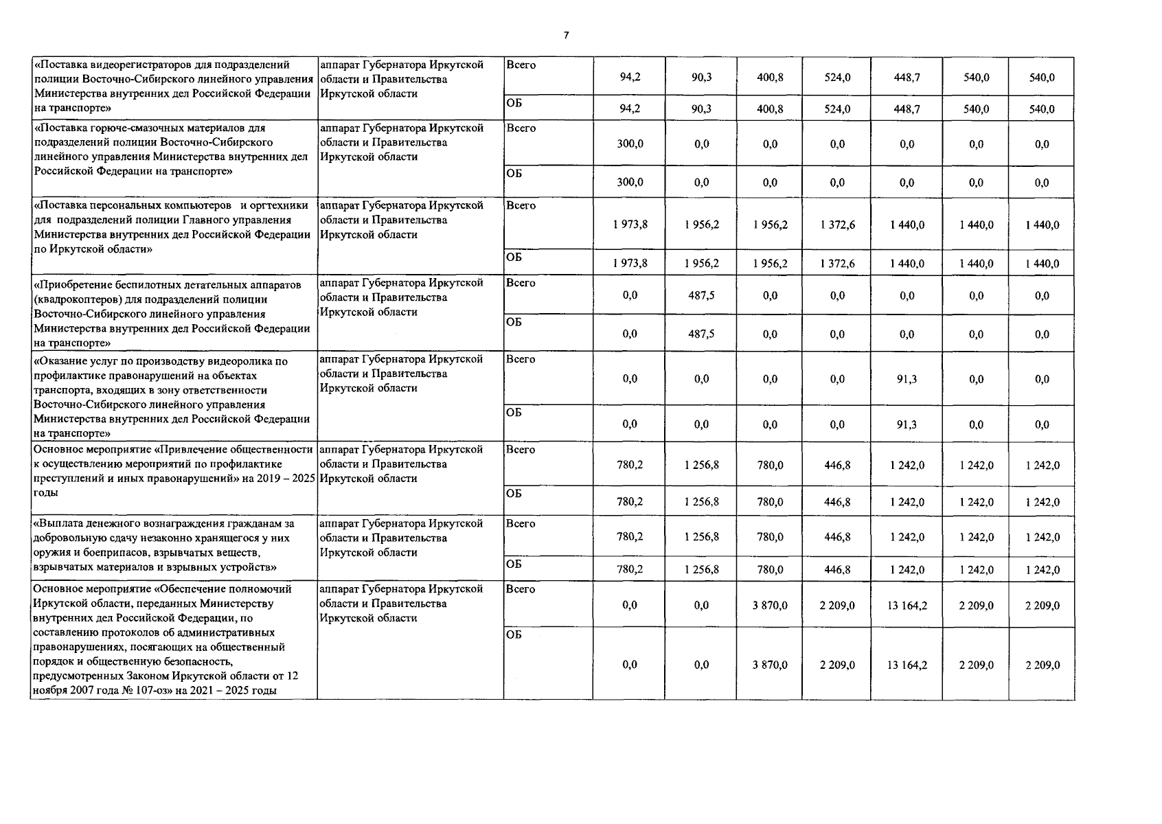
Постановление Правительства Иркутской области от 11.08.2023 № 702-пп
"О внесении изменений в государственную программу Иркутской области "Обеспечение комплексных мер противодействия чрезвычайным ситуациям природного и техногенного характера, построение и развитие аппаратно-программного комплекса "Безопасный город" на 2019– 2025 годы"
Номер опубликования: 3800202308140009
Дата опубликования: 14.08.2023
Страница №12 из 34:
Увеличить