Официальное опубликование правовых актов
ОФИЦИАЛЬНОЕ ОПУБЛИКОВАНИЕ
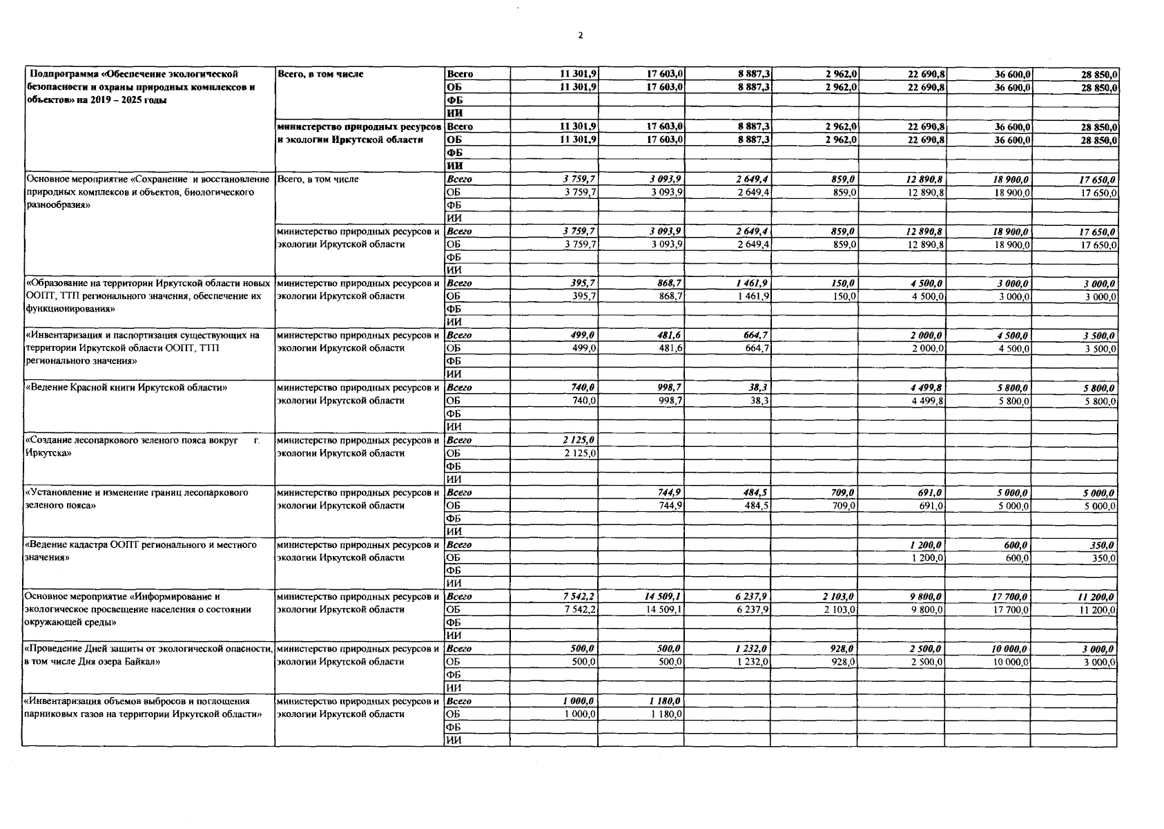
Постановление Правительства Иркутской области от 08.08.2023 № 689-пп
"О внесении изменений в государственную программу Иркутской области "Охрана окружающей среды" на 2019 – 2025 годы"
Номер опубликования: 3800202308110010
Дата опубликования: 11.08.2023
Страница №54 из 79:
Увеличить