Официальное опубликование правовых актов
ОФИЦИАЛЬНОЕ ОПУБЛИКОВАНИЕ
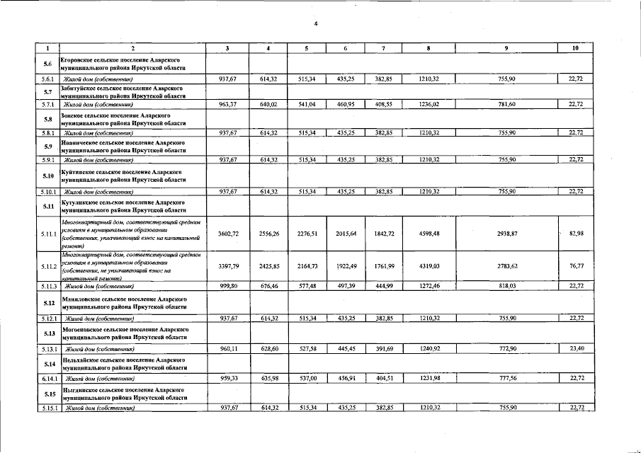
Постановление Правительства Иркутской области от 29.06.2023 № 548-пп
"О размерах регионального стандарта стоимости жилищно-коммунальных услуг, дифференцированной по муниципальным образованиям Иркутской области со способом оплаты коммунальной услуги по отоплению равномерно в течение календарного года, на 2023 год"
Номер опубликования: 3800202307030001
Дата опубликования: 03.07.2023
Страница №5 из 63:
Увеличить