Официальное опубликование правовых актов
ОФИЦИАЛЬНОЕ ОПУБЛИКОВАНИЕ
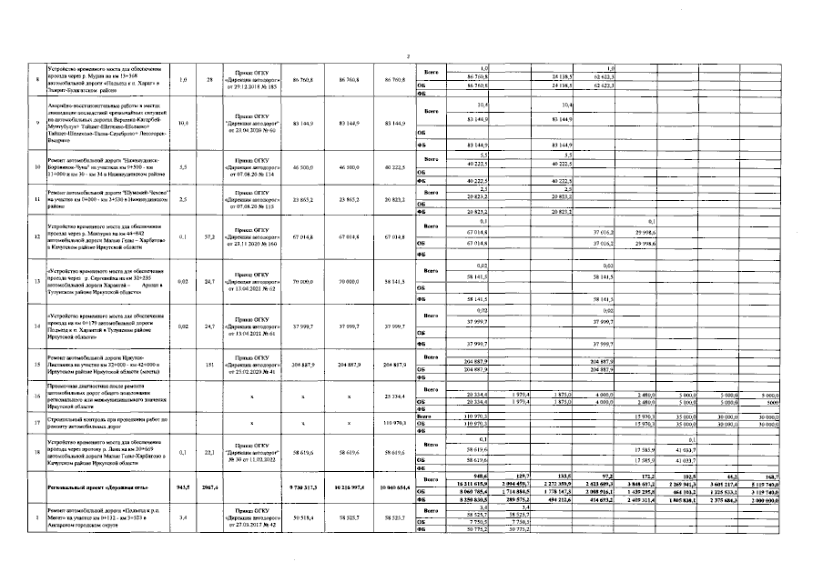
Постановление Правительства Иркутской области от 22.06.2023 № 527-пп
"О внесении изменений в государственную программу Иркутской области "Развитие дорожного хозяйства и сети искусственных сооружений" на 2019-2025 годы"
Номер опубликования: 3800202306260007
Дата опубликования: 26.06.2023
Страница №8 из 113:
Увеличить